La ninidrina

A leggere il titolo di questo articolo vi starete chiedendo di cosa voglio parlare. Ebbene, di certo non voglio discutere di fantasy, né di una città esotica e nemmeno di un nuovo pianeta di un sistema solare lontano anni luce dal nostro.

Niente di tutto questo.

Mi è venuta voglia di descrivere la chimica di una molecola il cui funzionamento mi ha divertito ed appassionato moltissimo quando studiavo la biochimica nell’ormai lontano 1989. Poi vi dirò perché mi è venuta questa voglia.

La nomenclatura

La ninidrina ha nome IUPAC 2,2-diidrossi-1,3-diossoidrindene che, per i non chimici, non risolve alcun mistero. Anzi, volendo, lo complica ancora di più perché introduce una complessità maggiore nel dare un nome a qualcosa usando delle regole molto lontane dalla vita quotidiana. Potremmo pure chiamarlo tirannosauro cityplex, ma cambiare etichetta non permette di comprendere nulla in merito all’oggetto di cui voglio discutere.

Allora andiamo con ordine.

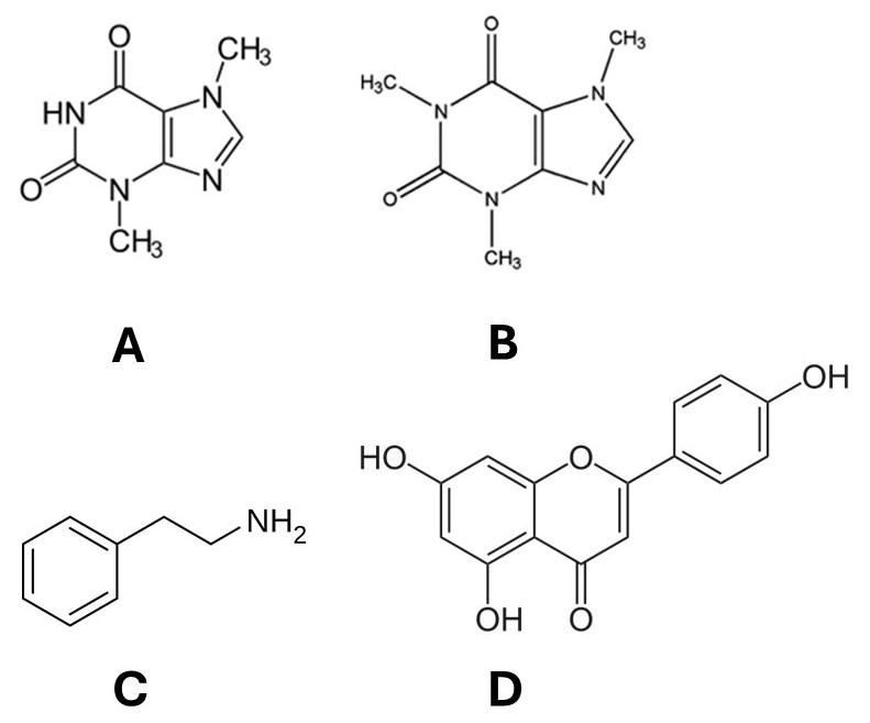
Partiamo dal termine indene.

L’indene è la molecola descritta qui sotto. Come si vede, si tratta di un composto formato da un anello benzenico (quello a sinistra, a 6 atomi di carbonio) fuso con un anello ciclopentadienico (quello a destra, a 5 atomi di carbonio). L’anello a 5 termini contiene un doppio legame: quello che vedete in basso a destra. In realtà, i doppi legami nel ciclo a 5 atomi di carbonio sono due, ma non voglio complicarvi ulteriormente la vita con formule ed ibridi di risonanza, per cui decido scientemente di commettere un errore.

Se dall’anello a cinque atomi di carbonio togliamo quel doppio legame in basso a destra, otteniamo una molecola che si chiama idrindene la cui struttura è quindi:


Il doppio legame lo potete immaginare come un tavolo in cui ci sono due posti vuoti. Ci siete voi che aspettate due vostri amici: i fratelli gemelli idrogeno1 e idrogeno2. Quando arrivano, si siedono e la tavola è completa. Da un punto di vista chimico, togliere un doppio legame significa inserire due atomi di idrogeno, uno su ogni atomo di carbonio coinvolto nel doppio legame, mediante una reazione che si chiama idrogenazione.   Il suffisso “idr” in idrindene, quindi, si riferisce proprio all’indene idrogenato.

A questo punto mettiamo due atomi di ossigeno legati ciascuno con doppio legame agli atomi di carbonio 1 e 3 come indicato nella figura qui sotto.

Ricordate una cosa importante: in chimica organica vengono attribuiti i numeri civici agli atomi di carbonio presenti in una molecola. Questi numeri civici, che vengono indicati come posizione degli atomi di carbonio all’interno della molecola, servono ai chimici per comprendere di quale atomo nello specifico si stia parlando. A questo punto, scegliete voi quale dei due atomi di carbonio sia 1 e quale 3. Però tranquilli perché non c’è nessuna risposta giusta o sbagliata: la molecola è simmetrica; quindi, potete ribaltarla come in uno specchio e tutto funziona allo stesso modo.

La reazione che produce questo oggetto chimico si chiama ossidazione, ma non importa il nome e proseguiamo. Andiamo avanti aggiungendo che i due gruppi ossigenati così ottenuti vengono indicati come “diosso”. Da qui il termine diossoidrindene. Ma dal momento che gli atomi di carbonio legati con doppio legame con l’ossigeno sono in posizione 1 e 3, il nome corretto è 1,3-diossoidrindene.

Continuiamo a mettere atomi di ossigeno e piazziamo due gruppi -OH, che si chiamano ossidrile oppure idrossile o, ancora, idrossi, sul carbonio in posizione 2. Otteniamo la struttura indicata nella seguente figura:

Poiché gli ossidrili in posizione 2 sono due, il nome dell’oggetto mostrato nella figura sopra diventa: 2,2-diidrossi-1,3-diossoidrindene… per gli amici intimi: ninidrina.

Quindi riassumendo

2,2-diidrossi è il suffisso che usiamo per indicare due gruppi -OH legati entrambi all’atomo di carbonio in posizione 2. Poiché gli ossidrili sono due, il numero civico del carbonio va ripetuto due volte mentre il suffisso “di” davanti a “idrossi” si riferisce proprio al numero di gruppi -OH presenti.

1,3-diosso è il suffisso che usiamo per indicare due atomi di ossigeno legati con doppio legame agli atomi di carbonio ai civici 1 e 3.

Il suffisso “idr” si riferisce a un sistema chimico che ha perso un doppio legame per effetto della reazione con idrogeno.

Infine, indene è la molecola da cui siamo partiti.

Ed ora?

Ed ora diamo un’occhiata al carbonio al civico 2 che è legato a due gruppi ossidrili.

Dovete sapere che una molecola che contiene un gruppo ossidrile si chiama alcol. Sì… nel linguaggio comune il termine si riferisce all’ingrediente più importante di tante bevande: dal vino al bloody Mary, ovvero l’alcol etilico. Ma, in chimichese il termine alcol si riferisce a una classe di molecole che contengono il gruppo -OH. Quando nella stessa molecola sono presenti due gruppi ossidrili, questa viene indicata come diolo. Se i gruppi ossidrili sono sullo stesso atomo di carbonio, come nel caso della ninidrina, si parla di dioli geminali. Geminale deriva da gemello. I due -OH sullo stesso atomo di carbonio sono gemelli e come fratelli tendono a litigare. In effetti, i dioli geminali sono instabili perché i due gruppi -OH sullo stesso atomo di carbonio non stanno bene assieme e fanno a cazzotti. Cosa succede? Tendono a reagire per formare un doppio legame C=O in posizione 2, come nella figura qui sotto.

Adesso giochiamo ad aguzza la vista. Guardate cosa abbiamo combinato lì nella parte destra della molecola: ai civici da 1 a 3 ci sono tre gruppi C=O. Sembrano uguali, non è vero? Ma non è così.

Pur essendo uguali i tre gruppi hanno stabilità differente, o, potremmo anche dire, hanno reattività differente. In altre parole, tendono a reagire in modo diverso quando sono in presenza di particolari reagenti che andremo a vedere fra poco.

Il ruolo dell’elettronegatività

Il titolo di questo paragrafetto riporta una parolaccia: elettronegatività. Ma cos’è ‘sta roba?

Dobbiamo ricordarci che il chimichese è un linguaggio col proprio alfabeto e con le proprie regole di grammatica e sintassi. L’alfabeto è la tavola periodica. Essa contiene tutte le lettere, gli elementi chimici, che combinate formano le parole. Queste, a loro volta, messe assieme portano alle frasi chimiche che noi chimici ci ostiniamo a chiamare reazioni.

Sembra semplice, ma non lo è, purtroppo. E meno male… direi… altrimenti che ci sto a fare io qui?

Una delle regole grammaticali che a noi chimici piace utilizzare per spiegare cose che altrimenti sarebbero incomprensibili è l’elettronegatività. Il termine si riferisce alla tendenza di un elemento chimico a trattenere gli elettroni. Sì… proprio quegli affarini che si muovono intorno al nucleo secondo delle modalità che non ci è dato conoscere e che si presentano in delle regioni di spazio che amiamo definire col nome esotico di orbitali.

Più alta è la capacità di un elemento di trattenere gli elettroni, maggiore è il valore numerico dell’elettronegatività.

Sapete che il primo a quantificare l’elettronegatività è stato Linus Pauling? È uno dei miei idoli assieme a Richard Feynman. Li adoro entrambi.

Nella scala Pauling, l’elemento più elettronegativo è il fluoro (F), a seguire l’ossigeno. Solo molto dopo arriva il carbonio.

Quando scriviamo qualcosa come C-O, oppure C-H, stiamo riportando una interazione, che in chimichese si chiama legame, tra due elementi: carbonio e ossigeno, nel primo caso, carbonio e idrogeno, nel secondo.

Il trattino tra i due elementi è la rappresentazione grafica del  legame chimico. Esso coinvolge due elettroni. In altre parole, il trattino sta a indicare due elettroni coinvolti nell’interazione tra gli elementi considerati.

Detto questo torniamo all’elettronegatività. Abbiamo detto che l’ossigeno è più elettronegativo del carbonio. Quindi, per effetto di questo, accade qualcosa di speciale nella distribuzione degli elettroni del legame C-O.

Siete curiosi di sapere cosa significa in un linguaggio meno chimichese?

Carbonio e ossigeno sono due persone. Il primo è un signore distinto col monocolo e il bastone; un signore d’altri tempi. Il secondo è un energumeno palestrato con la fissa per il wrestling. I due decidono di giocare al tiro alla fune. Chi vince secondo voi? Sì… l’energumeno palestrato.

Ecco… l’ossigeno, in virtù della sua maggiore elettronegatività, si comporta come il palestrato tirando verso di sé la corda con forza maggiore rispetto a quella usata dal signore di altri tempi. Ritornando al chimichese, gli elettroni del legame carbonio-ossigeno passano più tempo vicino a quest’ultimo che al carbonio. Nel linguaggio chimico più forbito, quello che userebbe il signore di altri tempi, la densità elettronica è spostata verso l’ossigeno. Questo vuol dire che, mediamente nel tempo, il carbonio è più elettropositivo dell’ossigeno. Scusate… traduco: per effetto della maggiore elettronegatività dell’ossigeno, il carbonio presenta una deficienza (nel senso di mancanza) elettronica ed ha una parziale carica positiva. Al contrario, l’ossigeno per gli stessi motivi ha una parziale carica negativa.

Adesso allarghiamo il campo. Se l’ossigeno richiama a sé gli elettroni del legame C-O, il carbonio, per effetto della sua deficienza elettronica, richiama a sé gli elettroni dei legami contigui. Quindi, se consideriamo qualcosa come C-C-O, anche il carbonio più lontano dall’ossigeno ha una parziale carica positiva indotta dal richiamo elettronico del lontano ossigeno.

Complichiamoci maggiormente l’esistenza e consideriamo un sistema come: O-C-C-C-O. Qui abbiamo tre atomi di carbonio e due di ossigeno. Gli atomi di carbonio alle estremità sono, ognuno, legati ad un atomo di ossigeno più elettronegativo. Questo vuol dire che il carbonio centrale risente del richiamo di due atomi di ossigeno. Come conseguenza, ha un potenziale elettropositivo (cioè una parziale carica positiva) maggiore rispetto al medesimo atomo di carbonio del sistema C-C-O.

Torniamo alla Ninidrina

Fatta la necessaria premessa sull’elettronegatività, riprendiamo la struttura della ninidrina in cui i due gruppi -OH hanno fatto a cazzotti. Per semplicità la riporto di nuovo qui di seguito:

Come vedete, abbiamo un C=O centrale, quello al civico 2, che risente dell’effetto dei due C=O al civico 1 e al civico 3. Pur avendo la stessa natura chimica, a causa degli effetti descritti prima, i C=O al civico 1 e 3 sono meno reattivi del C=O al civico 2. In pratica, la carica parziale netta positiva sul carbonio in 2 è maggiore rispetto a quelle degli atomi di carbonio in 1 e 3.

Cosa accade adesso?

Stiamo passeggiando nel parco. Stiamo per gli affari nostri quando incrociamo la nostra anima gemella: è amore a prima vista.

Ecco… il carbonio 2 della ninidrina povero di elettroni incrocia un sistema chimico che, invece, ne è ricco. Quale? Uno come R-NH2, per esempio. Questa è la formula generale dei composti che si chiamano ammine. L’azoto (N) è ricco di elettroni. Ne ha talmente tanti che quando si avvicina alla ninidrina viene attratto dalla sua anima gemella, ovvero il carbonio povero di elettroni in posizione 2. E cosa accade?

Guardate la figura qui sotto. In particolare la parte A. Qui le due anime gemelle si incontrano e si legano indissolubilmente. Le frecce curve indicano il movimento di elettroni dal sistema chimico che ne contiene di più a quello che ne contiene di meno. Si forma la molecola descritta nella parte B della medesima figura. In questa molecola intermedia, l’azoto è ancora ricco di elettroni. Di conseguenza li usa per rendere ancora più indissolubile il legame con la sua anima gemella portando alla formazione del composto riportato nella parte C della figura.

Sapete cosa è quella molecola? È un cromoforo, ovvero una molecola in grado di colorare di violetto una soluzione che la contiene. In altre parole, quando la ninidrina viene a contatto con una ammina o un altro sistema contenente un gruppo amminico, pensiamo, per esempio, agli amminoacidi, avviene una reazione che porta ad una soluzione colorata. L’intensità del colore è direttamente proporzionale alla quantità di sistema amminico che reagisce con la ninidrina. Nell’ambito della chimica biologica, la ninidrina è un utile strumento per quantificare gli amminoacidi con gruppi amminici primari (cioè del tipo RNH2) in sistemi proteici complessi.

La ninidrina nell’analisi forense

E veniamo al perché vi ho raccontato della ninidrina.

È da un po’ di tempo che si sente parlare del caso di Garlasco e dell’arresto quantomeno strano di Stasi. I diversi commentatori sui vari canali presenti in rete parlano ripetutamente di test della ninidrina per il rilievo delle impronte digitali. Ecco… ho l’impressione, ma è solo una mia opinione, che tutti parlino di qualcosa che non conoscono.

Cosa sono le impronte digitali? Si tratta di “immagini” dei nostri polpastrelli generate dal contatto con mezzi più o meno porosi. Da un punto di vista chimico, queste impronte contengono acqua, sali minerali, vitamine, amminoacidi e altro. Per il rilievo delle impronte si usa una soluzione di ninidrina che, reagendo con gli amminoacidi secondo lo schema appena descritto, produce un’immagine colorata che può essere studiata per consentire l’identificazione della persona che ha toccato quel dato oggetto.

Conclusioni

Perché la ninidrina mi divertiva quando studiavo la biochimica? Beh… da tutto quanto ho scritto è chiaro che conoscere la ninidrina significa avere in mente una quantità di conoscenze chimiche non indifferente. Non sto parlando solo della nomenclatura. Quella è una banalità. Bisogna avere conoscenze approfondite di chimica generale, chimica organica e quantomeccanica. Quello che vi ho raccontato non lo trovate scritto nei libri, ma lo ottenete dalla conoscenza comparata di diverse discipline chimiche. Ecco perché, quando sento qualcuno parlare della ninidrina come fosse un semplice reagente, sorrido. Per me è stata molto di più: è stata la prova che la chimica non è un insieme di nozioni, ma un modo di vedere il mondo. E quel viola, in provetta, era la conferma che avevo cominciato a vederlo davvero.

Grazie a tutti voi che avete avuto la pazienza di condividere con me un istante della mia vita da studente.

Il destino della materia vivente: filosofia naturale delle trasformazioni

Quando faccio lezione mi accorgo spesso di una cosa: usiamo parole enormi con una naturalezza disarmante, come se fossero trasparenti. E invece no: dentro quelle parole ci sono scelte culturali, immagini implicite, scorciatoie del linguaggio.

Una delle più insidiose è “fertilità”. La diciamo e pensiamo subito a un raccolto più abbondante, a una resa migliore, a un suolo “che produce”. È una definizione comprensibile – ma è anche la più stretta, e in un certo senso la più povera.

Se vi capita di prendere in mano una zolla dopo una pioggia leggera, sentirne l’odore e vederne la grana, capite che non state toccando un semplice “supporto” per le radici. State tenendo tra le dita un sistema che respira, scambia, trattiene, rilascia: un’interfaccia fra roccia, acqua, aria e vita.

Fertilità

In ecologia e in scienza del suolo, la fertilità è soprattutto questo: la capacità di un suolo di sostenere reti di vita nel tempo, fornendo acqua, nutrienti, habitat, e un ambiente chimico-fisico in cui i processi biologici possono avvenire.

Detto così sembra astratto, ma ha una conseguenza importante: esistono suoli “fertili” anche dove non immaginiamo alcuna produttività agricola. I suoli desertici, le saline, i suoli polari o quelli sottilissimi su rocce giovani possono avere una fertilità minima e altamente specializzata – sufficiente però a sostenere comunità adattate a quelle condizioni estreme.

Non è romanticismo: è una questione di funzioni. Un suolo può essere povero di sostanza organica e tuttavia ospitare cicli del carbonio e dell’azoto; può avere pochissima acqua disponibile e tuttavia mantenere, per brevi finestre temporali, un’attività microbica sorprendente. La fertilità, in questo senso, è la misura della possibilità.

Cos’è la vita

Ed è qui che, di solito, faccio inciampare (con gentilezza) i miei studenti: “Cos’è la vita?”. Sembra una domanda scolastica, e proprio per questo le risposte arrivano spesso automatiche.

“La vita è la capacità di riprodursi”, dicono. Allora la domanda successiva è inevitabile: un mulo è vivo oppure no? Se lo è, la riproduzione non può essere il criterio decisivo.

“La vita è movimento, reazione, pensiero”. E allora che facciamo con una spora dormiente, con un seme in quiescenza, con un organismo in letargo? È vivo anche quando non ‘fa’ nulla di evidente. E un robot che si muove, reagisce e impara? Siamo tentati di chiamarlo vivo solo perché imita alcune proprietà del vivente.

Questi esempi servono a un punto semplice: la vita non risiede in una singola proprietà isolata. Il polmone da solo non è vivo. Il cuore da solo non è vivo. Neanche una molecola – per quanto sofisticata – è “viva” in sé. È soltanto quando molte parti diverse cooperano, in un equilibrio dinamico, che appare qualcosa di qualitativamente nuovo.

Vita come emergenza metabolica e autopoiesi

Se dovessi azzardare una definizione operativa, la formulerei così: la vita è una proprietà emergente che nasce dalla combinazione non lineare di molti fattori chimici e fisici, quando questi fattori si organizzano in una rete capace di mantenersi e rigenerarsi.

Il cuore di questa rete è il metabolismo: un intreccio di reazioni che trasforma materia ed energia e, soprattutto, mette in relazione fra loro metaboliti primari e secondari. I primi sono le “monete” fondamentali della cellula (zuccheri, amminoacidi, nucleotidi, lipidi); i secondi sono un immenso repertorio di molecole che modulano, proteggono, comunicano, competono, cooperano. Non sono accessori: spesso sono i nodi che rendono possibile l’adattamento, la regolazione, la risposta.

La cosa decisiva è l’intreccio: queste vie non scorrono in linea retta. Si parlano attraverso feedback, soglie, amplificazioni e smorzamenti. È una dinamica non lineare: piccole variazioni in un punto possono produrre grandi effetti altrove, e viceversa. Da questo tessuto di reazioni nasce la capacità di stare “lontano dall’equilibrio” senza collassare.

Quando questa rete metabolica sostiene un meccanismo autopoietico – cioè, quando il sistema produce e rinnova continuamente i propri componenti (membrane, enzimi, strutture), mantenendo un confine e una coerenza interna – allora riconosciamo il vivente. Non perché sia magico, ma perché ha una proprietà organizzativa che la pura chimica, lasciata a sé stessa, non mantiene a lungo.

Morte

La morte, vista così, è meno misteriosa di quanto sembri. Non è la fine della materia: è la fine di quell’organizzazione autopoietica.

Quando l’organizzazione si interrompe, cessa il controllo: i gradienti chimici si annullano, le membrane perdono integrità, i compartimenti cellulari si aprono. Le reazioni non si fermano: cambiano regime. Passano da un metabolismo regolato a una chimica di degradazione, guidata dalla termodinamica e facilitata da enzimi, idrolisi, ossidazioni, microbi.

Le molecole che fino a un istante prima partecipavano all’ordine interno dell’organismo non “muoiono”: tornano disponibili. Si spezzano, si dissolvono, si ricombinano. Rientrano nei cicli che attraversano suolo, aria e acqua.

Tre destini della materia organica

Qui vale la pena essere precisi, perché una semplificazione comune è pensare che tutto “torni subito in inorganico”. In realtà i destini sono almeno tre e hanno tempi molto diversi.

1) Mineralizzazione rapida. Una parte della materia organica viene degradata relativamente in fretta: carbonio che torna a CO₂, idrogeno che torna a H₂O, azoto che passa per ammonio e nitrati, zolfo che transita in forme ossidate o ridotte. È il flusso che alimenta gran parte del ciclo biogeochimico visibile.

2) Incorporazione e stabilizzazione. Un’altra parte non scompare: entra nella biomassa microbica e, soprattutto, nella cosiddetta necromassa microbica (i residui cellulari). Questi frammenti possono legarsi alle superfici minerali, essere protetti dentro aggregati, diventare meno accessibili agli enzimi. Qui il suolo funziona come archivio chimico-fisico: non per ‘mistero’, ma per protezione e limitazione della disponibilità.

3) Trasporto e trasformazioni lente. Una quota viene trasportata: disciolta nell’acqua, adsorbita a particelle fini, trascinata verso acque sotterranee o corsi d’acqua, o rilasciata come composti volatili. In questi percorsi può essere trasformata più volte, in modo discontinuo, con tempi che si allungano enormemente.

Queste tre strade coesistono. E la loro proporzione dipende da condizioni molto concrete: ossigeno, umidità, temperatura, tessitura, mineralogia, struttura degli aggregati, qualità della materia organica, comunità microbiche.

E il DNA?

Nella nostra immaginazione il DNA è “il codice”, la memoria più profonda della vita. Ma senza il contesto che lo mantiene – riparazione  replicazione, protezione dentro strutture – anche quel codice si frammenta.

Questo non significa che non restino tracce: in certe condizioni parti di acidi nucleici possono persistere, essere adsorbite, essere rilevate a distanza di tempo. Ma la cosa importante è un’altra: l’informazione biologica non vive nei nucleotidi inerti; vive nel circuito che la interpreta e la rinnova.

Per questo la morte non è la scomparsa del materiale genetico in quanto materia, ma la perdita del sistema che lo rende funzione.

Il tempo del carbonio

La vita ha un tempo breve; la materia no. Un organismo può durare decenni, un ecosistema secoli, una specie milioni di anni. Gli atomi, invece, non hanno biografia: hanno traiettorie.

Gli atomi che oggi ci compongono arrivano da lontano: dalle piante che hanno fissato carbonio dall’atmosfera, dal suolo che ha trattenuto e trasformato residui, dall’acqua che ha sciolto e trasportato ioni, da catene alimentari e decomposizioni ripetute. In parte – su scale molto più grandi – vengono perfino da storie stellari.

E un domani, quando la trama che ci tiene insieme si allenterà, torneranno disponibili per altri sistemi. Non è una profezia numerica, è un modo probabilistico di guardare un ciclo globale: mescolamento e riuso rendono inevitabile che la materia passi attraverso molte forme. Su tempi lunghi, la possibilità cresce; non perché “debba”, ma perché può.

La continuità della materia non ci diminuisce. Ci colloca in un flusso più grande, in cui ogni configurazione è temporanea e tuttavia reale. La vita è una delle forme più straordinarie di questa temporaneità: ordine locale mantenuto consumando energia, nel corpo fragile di una rete metabolica.

Conclusioni

Se la vita è un’emergenza, allora i sistemi che la rendono possibile meritano un rispetto diverso: non come scenografia, ma come infrastruttura. Il suolo, l’acqua, l’aria – e le loro interazioni – sono i luoghi in cui la materia impara, per un attimo, a diventare organismo.

La materia non conosce finali: conosce trasformazioni. La vita è la fase in cui la materia trova voce, organizzazione, autoregolazione e poi la restituisce al flusso da cui proviene. E proprio perché è una parentesi, vale la pena guardarla senza slogan: con precisione, e con meraviglia.

“Lo dice la scienza”: un caso studio sul confine fra metodo scientifico e decisioni normative

Introduzione

Qualche giorno fa ho pubblicato un breve articolo [link] in cui riflettevo sull’uso sempre più frequente della locuzione “lo dice la scienza” nella divulgazione scientifica. Ho notato come molte riviste accreditate e numerosi divulgatori ricorrano a questa espressione per rafforzare le conclusioni dei propri ragionamenti.

In quell’articolo evidenziavo come tale locuzione sia problematica sia sul piano dei contenuti sia su quello della comunicazione: la scienza non è un soggetto che parla, non produce verità assolute e non funziona per atti di fede.

A seguito della pubblicazione, si è sviluppata una discussione pubblica con un lettore (Figura 1) che rappresenta un caso interessante di fraintendimento del confine fra metodo scientifico e decisioni normative. È questo scambio, più che le persone coinvolte, a costituire l’oggetto dell’analisi che segue.

Figura 1. Estratto di uno scambio pubblico avvenuto nei commenti a un articolo precedente. Il dialogo è riportato come caso studio per illustrare alcuni fraintendimenti ricorrenti nel dibattito pubblico sul rapporto fra metodo scientifico e decisioni normative. Lo scopo non è valutare le persone coinvolte, ma analizzare gli argomenti e i passaggi concettuali.

Il metodo scientifico non “impone” nulla

Uno degli equivoci più ricorrenti nel dibattito pubblico consiste nel trattare la scienza come un’autorità normativa, capace di imporre comportamenti, obblighi o divieti. Ma il metodo scientifico non ha questo ruolo.

La scienza:

  • formula ipotesi,
  • raccoglie dati,
  • costruisce modelli,
  • li testa e li migliora.

Non decide cosa si deve fare.

Le decisioni — sanitarie, politiche, sociali — sono sempre atti normativi, presi da istituzioni e governi sulla base delle evidenze disponibili, ma anche di valutazioni etiche, economiche e sociali.

Confondere questi due piani significa attribuire alla scienza un potere che non ha, e allo stesso tempo criticarla per responsabilità che non le competono.

Il dubbio scientifico non è sospensione permanente del giudizio

Un secondo elemento che emerge chiaramente dal caso studio è l’uso improprio del concetto di dubbio. Nel linguaggio scientifico, il dubbio non è sinonimo di paralisi o relativismo.

Il dubbio scientifico serve a:

  • migliorare i modelli,
  • individuare limiti,
  • integrare nuovi dati.

Non serve a rinviare indefinitamente ogni decisione in attesa di una verità finale e immutabile. In contesti reali, non decidere è comunque una scelta, con conseguenze misurabili.

Il fatto che la scienza evolva nel tempo non implica che “tutto sia ugualmente vero” in ogni momento. Implica, piuttosto, che le decisioni vengono prese con le migliori conoscenze disponibili in quel momento, sapendo che potranno essere aggiornate.

Quando il metodo scientifico viene trattato come ideologia

Nel botta e risposta riportato in Figura 1 compare anche un altro fraintendimento tipico: l’idea che difendere il metodo scientifico significhi trasformarlo in una sorta di religione laica, intollerante al dissenso.

In realtà accade spesso l’opposto:

chi riduce la scienza a un dogma finisce per trattarla come un’ideologia, mentre chi la riduce a una semplice opinione finisce per svuotarla di significato.

Il metodo scientifico non è né una fede né un’opinione. È uno strumento critico, fallibile e autocorrettivo. Ed è proprio questa sua natura a renderlo affidabile.

Perché questo caso è esemplare

Lo scambio riportato non è un’eccezione. È rappresentativo di un modo molto diffuso di discutere di scienza nello spazio pubblico, in cui:

  • il metodo scientifico viene confuso con le sue applicazioni normative;
  • il dubbio viene usato come scudo retorico, non come strumento di analisi;
  • l’evoluzione delle conoscenze viene interpretata come prova di arbitrarietà.

Analizzare casi concreti come questo è utile non per “avere ragione”, ma per chiarire dove avviene lo slittamento concettuale.

Conclusione

Dire “lo dice la scienza” è una scorciatoia comunicativa che finisce per alimentare proprio i fraintendimenti che vorrebbe evitare. La scienza non parla, non impone e non promette certezze assolute. Fornisce strumenti per comprendere la realtà e basi razionali su cui costruire decisioni collettive.

Confondere questi piani non rafforza la scienza: la indebolisce.

Ed è solo mantenendo chiaro il confine fra metodo scientifico e decisioni normative che il dibattito pubblico può tornare ad essere, davvero, razionale.

“Lo dice la scienza”: come sbagliare nella divulgazione scientifica.

Sempre più spesso mi capita di leggere articoli di divulgazione scientifica che iniziano con una frase che mi fa rabbrividire: “Lo dice la scienza”.

È una frase apparentemente rassicurante, che suona razionale, moderna, definitiva.

Eppure, è una frase profondamente sbagliata – non per cavilli linguistici, ma perché travisando la natura della scienza finisce per indebolirla.

Vediamo perché.

La scienza non è un soggetto che parla

La scienza non è una persona, né un’istituzione che emette verdetti.

Non “dice” nulla nel senso in cui parlano un giudice, un prete o un politico.

La scienza è un metodo:

  • per formulare ipotesi,
  • raccogliere dati,
  • costruire modelli,
  • testarli,
  • correggerli o abbandonarli.

Quando diciamo “lo dice la scienza”, stiamo facendo una personificazione indebita, come se esistesse una voce unica e autorevole che pronuncia sentenze.

In realtà parlano gli scienziati, i dati, gli esperimenti, le analisi statistiche — e lo fanno con gradi diversi di incertezza.

La scienza non produce verità assolute

Uno degli errori più gravi contenuti in quella formula è l’idea implicita che la scienza fornisca verità definitive.

Ma la scienza funziona esattamente al contrario:

  • ogni risultato è provvisorio,
  • valido entro un certo contesto,
  • sempre aperto a revisione.

Quando dici “lo dice la scienza”, stai in realtà dicendo: “Questa affermazione non è discutibile”. Ed è una frase anti-scientifica.

Tradizione filosofica e scienza

Per secoli la tradizione filosofica ha difeso la visione geocentrica dell’universo, ovvero che la Terra fosse al centro dell’universo.

Poi arrivò Galileo Galilei, con osservazioni empiriche che non tornavano.

Non vinse perché “aveva fede”, ma perché:

  • mostrò dati,
  • li rese pubblici,
  • accettò il confronto (anche quando era rischioso).

Più tardi, Isaac Newton formulò leggi che sembravano descrivere l’universo in modo definitivo. E per due secoli la scienza diceva che fossero esatte.

Finché non arrivò Einstein.

Nel mondo scientifico si cambia spesso idea, ma non per capriccio, semplicemente perché funziona così: nuovi dati e nuove esperienze permettono di migliorare i modelli presenti per spiegare nuove osservazioni e superare i limiti di quelli precedenti.

“Lo dice la scienza” è un argomento ad autoritatem mascherato

Usare questa formula nel dibattito pubblico equivale spesso a dire:

  • “Non discutere”
  • “Non fare domande”
  • “Fidati e basta”

È lo stesso meccanismo retorico di:

  • “Lo dice la Chiesa”
  • “Lo dice la Legge”
  • “Lo dice l’esperto”

Ma la scienza non chiede fiducia cieca.

Chiede:

  • controllo,
  • replicabilità,
  • spirito critico.

Quando diventa un’autorità indiscutibile, smette di essere scienza e diventa scientismo.

Cancella il dissenso scientifico

In quasi tutti i campi reali della ricerca:

  • esistono risultati non perfettamente concordi,
  • modelli alternativi,
  • interpretazioni diverse degli stessi dati.

Dire “lo dice la scienza” al singolare:

  • fa sparire il dibattito,
  • delegittima il dissenso onesto,
  • confonde il pubblico.

Il dissenso non è un difetto della scienza: è il suo motore. Ma l’errore non è solo concettuale. È anche comunicativo.

È comunicativamente controproducente

Paradossalmente, questa formula:

  • rafforza chi già diffida della scienza,
  • fa sembrare il metodo scientifico una nuova religione,
  • allontana chi vorrebbe capire, non credere.

Chi sente “lo dice la scienza” spesso pensa: “non posso fare domande, allora non è scienza.” Ed è una reazione comprensibile.

Come dirlo meglio

Esistono alternative molto più corrette e anche più oneste:

  • “I dati disponibili indicano che…”
  • “Secondo le evidenze sperimentali attuali…”
  • “Nel quadro teorico oggi più robusto…”
  • “La maggior parte degli studi converge su…”
  • “Con le conoscenze attuali, questo è il modello migliore”

Sono frasi meno perentorie, ma più forti, perché non fingono certezze che la scienza non promette.

Conclusione

Dire “lo dice la scienza” è sbagliato perché trasforma un metodo critico, fallibile e dinamico in un’autorità dogmatica.

La scienza non ha bisogno di essere difesa come un dogma.

Ha bisogno di essere capita. Ed è solo quando la raccontiamo per ciò che è – uno strumento imperfetto ma potentissimo – che può davvero aiutare la società a prendere decisioni migliori.

 

Glühwein ad Amburgo: la chimica del vin brulé

Ed eccoci ad Amburgo. Fa freddo: oggi -5 °C. Finalmente un inverno vero, di quelli che a Palermo si studiano solo sui libri o nei film di Natale doppiati male.

Per il palermitano medio, 9–10 °C sono già “buriana siberiana”: scatta il piumino artico, il cappello da spedizione e l’espressione tragica da sopravvissuto.

Io vengo dalle montagne dell’avellinese e mia moglie è veneta: per noi “inverno” significa freddo, neve, focolare acceso, patate al cartoccio e la nobile arte del sonnecchiare in poltrona senza sudare. Qui l’aria del Natale è quella della mia infanzia: profumo di legna, musica ovunque, persone che sorridono davvero.

E poi c’è la viabilità, che è un’esperienza quasi mistica: la gente ti saluta anche se non ti conosce e, udite udite, in auto si ferma ai semafori. Non “rallenta per vedere se passa lo stesso”: si ferma proprio. E quando attraversi sulle strisce… ti lasciano attraversare. Una roba talmente surreale che per un attimo ho cercato la telecamera nascosta.

Amburgo è una grande città con mercatini dove trovi di tutto. Ma è un “tutto” di un kitsch feroce: talmente kitsch da andare oltre la bellezza. Ed è in questi mercatini – malamente copiati a Palermo, dove hanno perso il senso del Natale perché sono diventati stanziali, cioè stanno lì tutto l’anno come un arredo urbano – che accade qualcosa di magnifico: cammini, hai le mani congelate, il vento dell’Elba ti ricorda che esiste la termodinamica… e poi qualcuno ti mette in mano un bicchiere fumante di Glühwein.

A quel punto, in modo del tutto irrazionale, il mondo diventa più semplice.

Eppure, dentro quel bicchiere non c’è magia. C’è chimica fisica applicata, fatta bene o fatta male. E la differenza la senti subito: un Glühwein buono profuma, scalda, “abbraccia”; uno cattivo sa di marmellata bruciata con retrogusto da farmacia.

Il punto è uno solo:

Il Glühwein non deve bollire. Mai.

Non è snobismo: è fisica.

1) Se bolle, perdi quello che vuoi (e ti resta quello che non vuoi)

  • Gli aromi sono in gran parte molecole volatili: se fai bollire, le regali all’atmosfera.
  • Anche l’etanolo è volatile: a ebollizione lo perdi in fretta e ti resta una bevanda più piatta (e spesso più dolce e “pesante”, perché ti viene spontaneo compensare con zucchero).

Risultato tipico: odore da mercatino = ottimo, sapore nel bicchiere = bleah.

2) Temperatura = telecomando del profumo

Il profumo che senti è una questione di pressione di vapore: più scaldi, più certe molecole “scappano” in aria.

Ma non tutte scappano allo stesso modo: alcune spariscono presto (note fresche), altre restano (note “scure”, resinose, legnose).

Se esageri con la temperatura ottieni il classico effetto:

  • spariscono le note agrumate e “vive”
  • restano spezia pesante + zucchero + vino stanco

Quindi il Glühwein migliore è quello che sta in equilibrio tra “si sente” e “non evapora via”.

Zona felice: circa 70–80 °C (fumante sì, bollente no).

Le spezie non sono spezie: sono una miscela di VOCs

Il mercatino di Natale profuma perché le spezie liberano molecole aromatiche (molte sono VOCs, composti organici volatili):

  • Cannella: cinnamaldeide (nota calda, dolce, “da forno”)
  • Chiodi di garofano: eugenolo (potentissimo: basta poco)
  • Anice stellato: anetolo (liquirizia elegante o invasiva, dipende da dose)
  • Scorza d’arancia: terpeni tipo limonene (fresco, “luminoso”)

La cosa divertente è che il Glühwein è un solvente misto (acqua + etanolo): perfetto per estrarre un po’ di tutto.

E qui nasce l’errore più comune.

Errore da mercatino: “più spezie = più Natale”

No: più spezie = più rischio di sovra-estrazione e amarezza.

  • Chiodi di garofano: sono i “dominatori”. Se esageri, non senti altro.
  • Scorza di agrumi: ok, ma evita troppo bianco (albedo): lì vive l’amaro.

Zucchero: non serve a “dolcificare”, serve a cambiare la percezione

Lo zucchero nel Glühwein fa una cosa interessante: smussa acidità e astringenza (tannini), e rende il sorso “più rotondo”.

Ma se esageri, ottieni un effetto collaterale: copri gli aromi e ti sembra tutto uguale.

Trucco semplice: aggiungi zucchero alla fine, assaggiando.

Perché la dolcezza “sale” con il calore: a caldo sembra meno dolce, a temperatura un filo più bassa sembra molto più dolce.

Il “protocollo Amburgo” per un Glühwein buono a casa (senza laboratorio)

Regola d’oro

Scalda fino a fumante, poi stop. Niente bollore.

Mini-ricetta (1 bottiglia)

  • 1 bottiglia di vino rosso (non serve un top, ma evita quelli “morti”)
  • 1 arancia (solo scorza, poco bianco)
  • 1–2 stecche cannella
  • 2–4 chiodi di garofano (non di più se vuoi sentire il vino)
  • 1 anice stellato (facoltativo)
  • zucchero/miele: a fine corsa, quanto basta

Metodo:

  1. scalda tutto a fuoco basso finché fuma
  2. spegni, copri, lascia in infusione 10–20 minuti
  3. assaggia e regola la dolcezza
  4. filtra e servi

Coprire non è un dettaglio “da nonna”: è un modo banale per ridurre la fuga dei volatili.

Mini esperimento da blog (divertente e vero)

Fai due tazze uguali:

  • Tazza A: Glühwein portato quasi a bollore (anche solo un minuto)
  • Tazza B: Glühwein fumante ma non bollito, tenuto coperto

Poi annusa e assaggia.

Scommessa: la tazza A “profuma” in cucina (perché hai profumato l’aria) ma sa meno nel bicchiere.

Chimica natalizia

Ad Amburgo ti vendono il Glühwein come comfort. In realtà è un piccolo capolavoro di equilibrio: se rispetti la volatilità, ti resta il Natale nel bicchiere. Se fai bollire, regali il Natale ai passanti.

 

Quando la combustione non è combustione

Del perché l’ATP non è energia e quali sono gli equivoci più diffusi sul metabolismo

Qualche tempo fa mi è capitato di scrivere una risposta un po’ “di getto” a un post di un qualche professionista che aveva super-semplificato concetti biochimici abbastanza complessi. Onestamente, non ricordo nemmeno più di cosa si parlasse. Rileggendo la mia risposta, che avevo scritto e conservato nelle note del mio iPad, mi è venuta voglia di riprendere alcuni concetti e scrivere un articolo per il blog. Questo perché l’equivoco è diffusissimo e riguarda due parole che usiamo con troppa disinvoltura: combustione ed energia.

Ogni tanto, nei commenti e nei post divulgativi, ricompare un’idea seducente perché è semplice: “nel corpo bruciamo zuccheri e grassi, quindi è combustione”. Il problema è che, presa alla lettera, questa metafora non chiarisce: confonde.

Nel nostro metabolismo non c’è nessuna fiamma. C’è invece una sequenza finissima di reazioni di ossidoriduzione mediate da enzimi, progettata per estrarre energia a piccoli passi, conservarne una parte e spenderla dove serve. È proprio questa regia molecolare – lenta, selettiva, controllata – a rendere possibile la vita.

Metabolismo ≠ combustione (anche se alla fine escono CO₂ e H₂O)

La combustione è, idealmente, una reazione rapida e poco controllata, che dissipa energia soprattutto come calore e luce. Il metabolismo aerobico fa l’opposto: smonta le molecole in modo ordinato e progressivo “raccogliendo” energia in intermedi chimici.

Il ciclo dell’acido citrico (o ciclo di Krebs), per esempio, non è una specie di fornace che “produce energia” nel senso comune. Il suo compito principale è generare carrier ridotti (NADH, FADH₂) e un equivalente di ATP (GTP/ATP) per giro: elettroni “ad alto potenziale”1 che verranno poi convertiti in ATP tramite la respirazione mitocondriale. In pratica, NADH e FADH₂ cedono elettroni alla catena di trasporto degli elettroni nella membrana mitocondriale interna; l’energia liberata pompa H⁺ creando un gradiente protonico, che l’ATP-sintasi (un enzima) usa per produrre ATP.

Per ogni acetil-CoA, il bilancio classico è:

  • 3 NADH
  • 1 FADH₂
  • 1 GTP (o ATP equivalente)
  • 2 CO₂

“Energia chimica”: la scorciatoia dei “legami” e la parola giusta

A questo punto arriva spesso un secondo equivoco: “l’energia è contenuta nei legami chimici”. È una scorciatoia linguistica che può funzionare in una spiegazione rapida, ma rischia di piantare in testa un’idea sbagliata: l’energia non è un contenuto nascosto nel singolo legame, pronto a uscire quando lo rompi. Rompere legami costa energia; formare legami libera energia. Quello che conta è la differenza complessiva tra reagenti e prodotti.

Se vogliamo dirla pulita (senza “chimichese” inutile): la grandezza che interessa davvero, quando parliamo di “energia spendibile”, è l’energia libera di Gibbs. È lì che sta il significato operativo di “questa reazione può trainarne un’altra”.

ATP: non “energia”, ma un “vettore” di energia libera

Qui sta il nodo: ATP è una molecola, non una forma di energia. Ciò che ha significato fisico è la variazione di energia libera associata alla sua idrolisi: in condizioni standard biochimiche (ΔG°′) per ATP → ADP + Pi è circa −30.5 kJ/mol (≈ −7.3 kcal/mol).

Detto senza slogan: la cellula usa ATP come intermedio operativo per accoppiare reazioni che liberano energia (ossidazioni metaboliche) a reazioni che ne richiedono (biosintesi, trasporto attivo, contrazione muscolare). ATP non “è” energia: è uno strumento chimico che permette all’energia libera di essere trasferita e spesa in modo controllato.

Calorie, Joule e “energia degli alimenti”: misura diretta o equivalente?

Il Joule (J) è l’unità SI dell’energia. La caloria è un’unità storica ancora comunissima: nella definizione termochimica 1 cal = 4.184 J.

In nutrizione, poi, la trappola è linguistica: la “Caloria” dei cibi (spesso con la C maiuscola) è in realtà una kilocaloria: 1 Cal = 1 kcal = 1000 cal.

Quando diciamo che un alimento “apporta energia”, spesso ci riferiamo a un valore ricavato (storicamente) dalla calorimetria a combustione: bruci il campione e misuri il calore prodotto. È un modo standardizzato e utile, ma va letto per quello che è: un valore equivalente, non la descrizione letterale di ciò che avviene nel corpo.

In questo senso, il meccanismo è simile a un’abitudine ben nota in chimica analitica e agronomia: quando in etichetta trovi il potassio espresso come K₂O, non significa che nel fertilizzante ci sia davvero ossido di potassio; significa che il contenuto è riportato come equivalente convenzionale. Allo stesso modo, il “potere calorico” è un modo coerente per comparare contenuti energetici, ma non autorizza a immaginare la fisiologia come una combustione “a fiamma”.

“Metabolismo lento”: una frase comoda, ma chimicamente vuota

Un inciso necessario, perché qui si inciampa spesso: “ho il metabolismo lento”. La frase è diffusissima, e non la usano solo i profani: la usano anche alcuni nutrizionisti. Il problema è che, sotto il profilo chimico, detta così non significa nulla. “Metabolismo” non è una singola reazione con una velocità, ma un insieme enorme di vie e processi; “lento” rispetto a quale variabile? Con quale unità? Con quale condizione iniziale?

Se vogliamo parlare in modo serio, dobbiamo dire cosa intendiamo davvero: di solito si sta parlando della spesa energetica (quanta energia l’organismo consuma per unità di tempo), cioè di un flusso misurabile. In quel caso non serve la metafora: si dice metabolismo basale (BMR) o spesa energetica a riposo (REE), e si ragiona su cosa la fa variare: massa magra, età, sesso, stato ormonale, temperatura corporea, attività del sistema nervoso simpatico, ecc. Ma chiamarlo “metabolismo lento” è un modo pigro di mettere un’etichetta a un risultato (consumo più basso del previsto) senza dichiarare il parametro, la misura e il confronto.

In breve: “metabolismo lento” è una frase che suona scientifica, ma spesso è solo un modo per evitare la parte scientifica.

In pratica, cosa intendono davvero quando dicono “metabolismo lento”

Quasi sempre, dietro quella formula ci sono una (o più) di queste cose:

  • Metabolismo basale più basso del previsto (BMR/REE). Non perché le reazioni “vadano piano” in senso chimico, ma perché il “motore minimo” dell’organismo è proporzionato soprattutto alla massa metabolicamente attiva (in primis la massa magra) e a fattori fisiologici (età, ormoni tiroidei, stato infiammatorio, ecc.). Qui “lento” è solo un aggettivo messo al posto di un numero.
  • NEAT basso: il consumo che non si vede. C’è una quota enorme di dispendio energetico che non è “sport”: è movimento spontaneo, postura, gesticolazione, irrequietezza, camminate, scale, micro-attività quotidiane. Se questa quota cala, la persona “consuma meno” senza accorgersene. E il mito del metabolismo lento diventa il cappotto perfetto per coprire un cambiamento di comportamento.
  • Adattamento energetico durante diete restrittive. Quando l’introito calorico scende molto e a lungo, il corpo tende a ridurre alcuni consumi (anche tramite variazioni ormonali e riduzione di NEAT). Non è magia, non è “metabolismo che si rompe”: è fisiologia prevedibile. Chiamarlo “metabolismo lento” è un modo furbo per evitare la frase corretta: sto spendendo meno energia per unità di tempo rispetto a prima.
  • Confronti sbagliati e misure fantasiose. Molte “diagnosi” di metabolismo lento nascono da confronti senza metodo (tabelle generiche, smart-watch, stime grossolane, “calorie bruciate” sparate). Se il dato di partenza è rumoroso, la conclusione è narrativa.

“Metabolismo lento” è spesso un’etichetta che suona scientifica proprio perché non dice nulla di misurabile. Quando mancano parametri e unità, il linguaggio riempie il vuoto con metafore: ATP diventa “energia”, la respirazione cellulare diventa “combustione”. Ma così non si semplifica: si mescolano categorie diverse, e il risultato è un corto circuito linguistico che produce solo una cosa… altra confusione.

Semplificare sì, vendere fumo no

Semplificare è necessario. Ma esiste un punto preciso in cui la semplificazione smette di essere didattica e diventa errore travestito da chiarezza: quando parole grandi (“energia”, “combustione”, “umiltà”, “scienza”) vengono usate come scenografia, al posto dei concetti che fanno davvero funzionare la spiegazione (redox, ΔG, unità di misura, condizioni standard vs condizioni cellulari).

E qui la faccio secca: se uno scambia ATP per “energia”, non sta semplificando, sta sbagliando oggetto grammaticale e oggetto scientifico nello stesso colpo. È come discutere di temperatura e confondere il termometro con i gradi: poi puoi anche metterci sopra parole solenni, ma resta un errore di base.

L’umiltà scientifica non è dire “parliamo semplice” e poi pretendere che la realtà si adatti alla frase. È accettare che la realtà sia più strutturata, e che le metafore, quando diventano troppo comode, non illuminano: addormentano.

In breve: la divulgazione non deve essere un caminetto acceso. Deve essere una lente pulita. E quando la lente è sporca di slogan, l’unica cosa che si vede bene è lo slogan.

Glossario degli acronimi

BMR – Basal Metabolic Rate (o metabolismo basale). Rappresenta la spesa energetica minima necessaria a mantenere le funzioni vitali a riposo.

NEAT – Non-Exercise Activity Thermogenesis. È il dispendio energetico dovuto ad attività non sportive (movimento spontaneo, postura, ecc.).

REE – Resting Energy Expenditure (o spesa energetica a riposo). Rappresenta la spesa energetica a riposo, spesso usata in clinica/nutrizione.

SI – Sistema internazionale

Sigle e simboli

ADP – Adenosine diphosphate (adenosina difosfato). Prodotto dell’idrolisi dell’ATP.

ATP – Adenosine triphosphate (adenosina trifosfato). Molecola “intermedia” usata per trasferire energia libera tra reazioni.

CO₂ – Anidride carbonica. Prodotto finale dell’ossidazione completa del carbonio organico nel metabolismo aerobico.

FADH₂ – Flavin adenine dinucleotide (forma ridotta). Trasportatore di elettroni/protoni prodotto in alcune tappe metaboliche.

GTP – Guanosine triphosphate (guanosina trifosfato). Nucleotide energetico “equivalente” all’ATP in alcune reazioni.

NADH – Nicotinamide adenine dinucleotide (forma ridotta). Trasportatore di elettroni/protoni prodotto da molte ossidazioni metaboliche.

Pi – Inorganic phosphate (fosfato inorganico). Prodotto dell’idrolisi dell’ATP insieme ad ADP.

Note

1 ↩︎ Quando dico che NADH e FADH₂ “portano elettroni ad alto potenziale”, non intendo un misterioso superpotere degli elettroni. È un modo compatto per dire questo: quegli elettroni sono in una condizione energetica tale da poter “scendere di livello”, passando a un accettore più “affamato” di elettroni (come l’ossigeno), e in quella discesa liberano energia utilizzabile.

In termini più rigorosi, “alto potenziale” significa che la coppia redox (per esempio NADH/NAD⁺) ha una forte tendenza a donare elettroni a coppie redox con potenziale più alto (più ossidanti). La catena respiratoria non fa altro che gestire questa discesa a tappe: ogni trasferimento libera un po’ di energia, e quella energia viene usata per pompare H⁺ e costruire il gradiente protonico che alimenta l’ATP-sintasi.

Usando un’immagine mentale: non è una “combustione”, è più simile a una centrale idroelettrica. Gli elettroni sono l’acqua in quota: non “sono energia”, ma hanno la possibilità di cadere e far funzionare una turbina (qui: pompaggio di H⁺ e sintesi di ATP).

L’ombra della fiamma di una candela

Ovvero: quando la semplificazione diventa… troppo semplice

Come sapete, miei cari e fedeli lettori, mi piace fare divulgazione scientifica.

Affronto argomenti molto svariati con una particolare predilezione per la chimica, che è la disciplina in cui sono specializzato.

Una cosa che devo puntualizzare è che nel fare divulgazione cerco sempre di semplificare per rendere digeribili concetti difficili anche a chi non ha una preparazione tecnica.

Molte volte ci riesco. Tante altre – la maggioranza, temo – non ce la faccio.

Per imparare a fare divulgazione seguo tanti canali, uno dei quali è Geopop, famoso per la semplicità con cui riesce a spiegare le cose.

Purtroppo, però, la semplificazione estrema a volte porta a dire inesattezze.

In un recente filmatino (lo trovate qui) hanno affrontato un argomento curioso: la fiamma di una candela non proietta alcuna ombra.

Devo dire che non mi ero mai posto il problema e, quando ho cominciato a guardare il video, mi sono incuriosito per capire come avrebbero spiegato la cosa.

Sono rimasto a bocca aperta quando ho sentito che la fiamma di una candela sarebbe un plasma.

La bassa densità di questo presunto plasma, secondo il video, lascerebbe passare indisturbati i fotoni della luce che, così, non verrebbero né deviati né riflessi: condizione necessaria per proiettare un’ombra.

Ora, perché sono rimasto a bocca aperta?

Semplicemente perché la fiamma di una candela non è affatto un plasma.

Cos’è davvero un plasma?

In fisica-chimica il plasma è considerato il quarto stato della materia, assieme a solido, liquido e gas.

È un gas talmente caldo (o energizzato) da risultare fortemente ionizzato: ioni positivi, elettroni liberi, particelle cariche che rispondono a campi elettrici e magnetici.

Per capirci:

  • i fulmini sono plasmi;
  • il Sole è plasma;

Le torce al plasma (Figura 1) sono progettate apposta per raggiungere temperature elevatissime.

Figura 1. Rappresentazione schematica di una torcia al plasma. La temperatura della zona dell’arco elettrico può raggiungere i 15000 °C. La fonte di questa figura è Wikimedia Commons.

La fiamma di una candela, invece, raggiunge temperature massime dell’ordine di 1000–1500 °C (Figura 2).

Figura 2. Rappresentazione di quanto avviene durante la combustione di un legnetto come un fiammifero. La fiamma raggiunge il massimo di temperatura verso la zona centrale. Questa figura è presa da Conte et al. Agronomy 2021, 11(4), 615; https://doi.org/10.3390/agronomy11040615

Sono temperature più che sufficienti per la combustione, ma troppo basse per generare una ionizzazione significativa.

Certo, nella fiamma troviamo radicali e qualche ione fugace (H⁺, O⁻, CHO·, ecc.), prodotti naturali della combustione: ma la loro concentrazione è minima, del tutto insufficiente per parlare di plasma.

In altre parole: niente plasma, almeno non nel senso fisico-scientifico del termine.

Ma allora perché la fiamma non fa ombra?

Per capire il motivo reale, basta ricordare che un oggetto proietta ombra solo se:

  1. assorbe la luce;
  2. la riflette;
  3. oppure la diffonde in modo significativo.

Una fiamma è invece costituita da:

  • gas caldi a bassa densità (CO₂, vapore acqueo, N₂, CO…);
  • minuscole particelle incandescenti (che generano il caratteristico giallo, ma in quantità minime);
  • forti gradienti di temperatura, che modificano l’indice di rifrazione.

Ora, questi gas non assorbono la luce visibile in modo apprezzabile.

E il fatto che siano caldi significa che la loro densità è ancora più bassa rispetto all’aria circostante.

La maggior parte dei fotoni, quindi, li attraversa senza essere bloccata, esattamente come la luce attraversa l’aria: e l’aria non fa ombra.

Ecco perché una fiamma non proietta un’ombra netta.

L’unico effetto reale: la distorsione

Se illuminate una candela con una luce molto intensa e osservate con uno sfondo uniforme, noterete non un’ombra, ma una distorsione dei contorni.

La fiamma, infatti, ha un indice di rifrazione diverso da quello dell’aria circostante, perché è più calda.

La luce viene quindi deviata leggermente.

È lo stesso effetto che si osserva sopra l’asfalto bollente d’estate: non un’ombra, ma un miraggio.

È dunque la rifrazione a rendere visibile la fiamma in certe condizioni, non l’assorbimento.

Ma allora i plasmi fanno ombra? Certo che sì.

L’altra affermazione problematicissima del video è che un plasma “lascia passare la luce senza bloccarla”.

Falso anche questo.

Dipende dal plasma.

Un plasma può assorbire luce, può diffonderla, può rifletterla.

La ionosfera terrestre, composta da plasma tenuissimo, è in grado di riflettere le onde radio: un comportamento ben più deciso del semplice “lasciare passare la luce”.

Quindi non esiste nessuna regola del tipo:

“Un plasma non fa ombra”

Semplificazione fuorviante.

Riassumendo tutto in una frase

La fiamma di una candela non fa ombra non perché è un plasma, ma perché è una miscela di gas caldi a bassa densità che non assorbe luce visibile: i fotoni la attraversano quasi indisturbati.

Molto più semplice, molto più elegante, molto più corretto.

Conclusione

La divulgazione scientifica è un’arte difficile. Bisogna trovare un equilibrio tra precisione e accessibilità.

Questa volta – mi dispiace dirlo – il pendolo della semplicità è stato spinto un po’ troppo in là.

Eppure, la vera spiegazione non solo è più corretta, ma è anche più affascinante: ci ricorda che la luce e la materia interagiscono in modi sottili, e che basta un po’ di fisica ben raccontata per scoprire meraviglie dove di solito non guardiamo.

La fiamma non fa ombra… e non ha certo bisogno di essere un plasma per farlo.

Il silenzio di Watson e la memoria imperfetta della scienza

Il palco di Stoccolma

L’11 dicembre 1962, James D. Watson tenne al Karolinska Institutet la sua Nobel Lecture, The involvement of RNA in the synthesis of proteins. Accanto a lui, Francis Crick e Maurice Wilkins: i tre scienziati che pochi mesi prima avevano condiviso il Premio Nobel per la Medicina per la scoperta della struttura a doppia elica del DNA..
Watson aveva trentatré anni, la brillantezza impetuosa di chi si sente al centro del mondo e la convinzione, non infondata, di aver partecipato a uno dei momenti più rivoluzionari della biologia moderna. Parlò per poco più di mezz’ora, illustrando i meccanismi di trascrizione dell’informazione genetica e il ruolo dell’RNA nella sintesi proteica. Parlò di geni, di codici, di ribosomi.
Nel suo intervento non menzionò Rosalind Franklin.

In quella sala gremita, la scienziata che aveva fornito le immagini chiave per decifrare la struttura del DNA era già scomparsa da quattro anni. Morta di cancro a 37 anni, nel 1958, non avrebbe potuto comunque ricevere il Nobel, poiché il premio non viene assegnato postumo. Ma l’assenza del suo nome — in una lezione che celebrava la vittoria della conoscenza — resta una delle omissioni più eloquenti della storia della scienza del Novecento.

La donna che guardò dentro la doppia elica

Rosalind Franklin non era un’eroina romantica né una vittima inconsapevole. Era, piuttosto, una ricercatrice di precisione chirurgica, formata tra Cambridge e Parigi, esperta di cristallografia a raggi X. Quando nel 1951 entrò al King’s College di Londra, portava con sé un bagaglio tecnico che pochi colleghi possedevano: la capacità di ottenere e interpretare immagini di strutture cristalline con un livello di dettaglio straordinario.
Fu lei a produrre la famosa “foto 51”, un’immagine di diffrazione del DNA che mostrava con chiarezza la sua struttura elicoidale. Lavorava con rigore quasi ascetico, in un ambiente accademico tutt’altro che accogliente per le donne. A quel tempo, al King’s College l’accesso agli spazi accademici era ancora fortemente segregato per genere, a riprova del clima culturale dell’epoca.

Mentre Franklin perfezionava le sue analisi, Watson e Crick — allora a Cambridge — cercavano di costruire un modello teorico della molecola. Non avevano accesso diretto ai dati sperimentali di Franklin, ma tramite Maurice Wilkins, suo collega (e, in un certo senso, suo antagonista), Watson poté vedere la famosa foto. In quella trama di macchie nere e grigie, egli riconobbe il segno inconfondibile di una doppia elica.
Da lì, la corsa si fece rapidissima. Nel numero del 25 aprile 1953 di Nature furono pubblicati tre articoli consecutivi. Il primo, firmato da Watson e Crick, presentava il modello; il secondo, da Wilkins, Stokes e Wilson lo confermava; il terzo, da Franklin e Gosling, mostrava i dati sperimentali su cui tutto poggiava. La sequenza delle pubblicazioni lasciava intendere una collaborazione armoniosa. In realtà, la comunicazione era stata minima e la tensione, altissima.

L’oblio nella Nobel Lecture

Dieci anni dopo, durante la sua Nobel Lecture, Watson non fece alcun riferimento a quella fase cruciale. Né Franklin, né la sua foto, né il suo contributo alla comprensione della struttura del DNA comparvero nel discorso.
Non fu una semplice dimenticanza. In parte, la lecture era centrata su altri temi — l’RNA e la sintesi proteica — ma la rimozione di Franklin rifletteva qualcosa di più profondo: il modo in cui la scienza istituzionale del tempo selezionava ciò che meritava memoria.

Negli anni ’50 e ’60, il merito scientifico era ancora filtrato attraverso un paradigma fortemente gerarchico e maschile. Le donne nella ricerca erano spesso viste come assistenti, non come protagoniste; la loro presenza, quando c’era, era percepita come eccezionale o marginale. In quel contesto, il nome di Franklin non fu cancellato per complotto, ma per inerzia culturale: perché era più semplice, più lineare, raccontare la scoperta come il frutto dell’intuizione di due giovani geni di Cambridge.

La riscrittura di una storia

Nel 1968, sei anni dopo la Nobel Lecture, James Watson pubblicò The Double Helix. Il libro, presentato come un “racconto personale della scoperta del DNA”, fu un successo editoriale immediato — ma anche una tempesta.
Watson vi raccontava la vicenda come una corsa intellettuale punteggiata da intuizioni, errori e colpi di fortuna. Il tono era brillante, ironico, spesso spregiudicato. Ma il ritratto di Rosalind Franklin appariva distorto: la chiamava “Rosy”, un nomignolo che lei non usava; la descriveva come “poco femminile”, “irascibile”, “ostinata”.
Solo nelle ultime pagine, quasi di sfuggita, Watson riconosceva che i suoi dati erano stati “cruciali” per la costruzione del modello della doppia elica.

Il libro provocò una reazione immediata. Anne Sayre, amica e collega di Franklin, pubblicò nel 1975 Rosalind Franklin and DNA, un testo scritto per “restituire equilibrio” a una storia che era stata piegata al punto di vista maschile e competitivo di Watson. In seguito, biografi come Horace Freeland Judson e Brenda Maddox avrebbero contribuito a una rilettura più accurata e documentata del ruolo di Franklin.
Da allora, la sua figura è uscita dall’ombra per entrare nel pantheon — non come martire della scienza, ma come simbolo della precisione, della pazienza e dell’intelligenza metodica che completano l’intuizione geniale.

Watson dopo Watson

Col passare degli anni, Watson rilesse più volte il proprio operato. In interviste successive, Watson ha più volte riconosciuto l’importanza decisiva dei dati di Franklin.

In altre occasioni definì The Double Helix un resoconto personale, non pensato come ricostruzione storica. In pratica, un racconto soggettivo di un giovane scienziato più attento alla competizione che alla sensibilità.

Tuttavia, la sua figura pubblica continuò a essere controversa. Le sue dichiarazioni successive su razza, intelligenza e genetica provocarono dure critiche, fino alla revoca di onorificenze e incarichi. È ironico — e forse istruttivo — che l’uomo che aiutò a svelare la struttura molecolare della vita sia diventato, nella memoria collettiva, un esempio di quanto la conoscenza possa coesistere con il pregiudizio.

Il contesto: scienza, società e invisibilità

Per comprendere davvero il “silenzio” di Watson, bisogna tornare al mondo della scienza degli anni ’50.
Il dopoguerra aveva accelerato la trasformazione dei laboratori in istituzioni competitive, legate ai finanziamenti pubblici e all’industria. Il linguaggio scientifico si era fatto più aggressivo, quasi darwiniano: vincere significava pubblicare per primi, ottenere riconoscimento, attrarre risorse.
In questo clima, le dinamiche di genere erano una componente implicita ma potente. Le donne rappresentavano una minoranza esigua nei dipartimenti scientifici; raramente avevano posizioni indipendenti, e spesso il loro lavoro veniva attribuito ai supervisori maschi.

Rosalind Franklin non fu un’eccezione: fu una scienziata che osò comportarsi da pari in un mondo che la voleva subordinata. La sua intransigenza, spesso percepita come freddezza, era una forma di autodifesa in un ambiente che tollerava la competenza femminile solo se accompagnata da deferenza.
Eppure, quella stessa intransigenza è ciò che le permise di ottenere risultati di una precisione senza precedenti. In un certo senso, la sua vicenda mostra il paradosso della scienza moderna: un sistema che premia la razionalità ma è plasmato da pregiudizi irrazionali.

Il tempo della memoria

Oggi, la storia di Rosalind Franklin è raccontata nei musei, nei documentari, nelle aule universitarie. È diventata una figura di riferimento per le donne nella scienza, ma anche un simbolo più ampio: quello della necessità di una memoria scientifica capace di riconoscere i contributi oltre i miti.
La sua immagine — austera, concentrata, quasi imperscrutabile — contrasta con il tono leggero e competitivo con cui Watson e Crick raccontarono la loro impresa. Ma proprio in quella differenza risiede la lezione più profonda: la scienza non è solo un gioco di intuizioni geniali, è anche una costruzione lenta, fatta di rigore, di dubbi, di dedizione quotidiana.

Se oggi conosciamo la struttura del DNA, lo dobbiamo a entrambe le forze: all’immaginazione teorica e alla precisione sperimentale. La storia della doppia elica non è il trionfo di due uomini o la rivincita di una donna: è un intreccio di caratteri, talenti e tempi, come le due spirali del DNA stesso.

Scienza e imperfezione umana

C’è però un altro piano, più sottile, che questa vicenda invita a considerare: il rapporto tra grandezza scientifica e imperfezione umana.
Watson, con le sue omissioni e i suoi pregiudizi, non smette per questo di essere uno dei protagonisti della biologia del Novecento. E la stessa cosa vale, su altri piani, per figure come Fritz Haber, Albert Einstein o Erwin Schrödinger: uomini di ingegno straordinario ma di condotta spesso discutibile.

Haber sviluppò la reazione che porta il suo nome, permettendo la produzione di ammoniaca e, di conseguenza, la rivoluzione dei fertilizzanti sintetici. Ma fu anche l’uomo che coordinò l’uso dei gas tossici nella Prima guerra mondiale.
Einstein lasciò la prima moglie in condizioni economiche precarie e mostrò poca sensibilità nelle relazioni familiari, ma la sua teoria della relatività cambiò per sempre il nostro modo di concepire lo spazio e il tempo.
Schrödinger, genio della meccanica quantistica, visse relazioni extraconiugali palesi che scandalizzarono i suoi contemporanei.

Tutti e tre — come Watson stesso — incarnano una verità scomoda ma necessaria: la scienza non redime l’uomo, e l’uomo non deve redimere la scienza. Il valore di una scoperta non dipende dalla moralità del suo autore, così come la condotta personale non può cancellare un risultato scientifico.
Ciò che invece possiamo — e dobbiamo — chiedere è una memoria onesta, che riconosca la complessità senza mitizzare né demonizzare.

Parallelismi contemporanei

Nel mondo della ricerca di oggi, le dinamiche di potere e visibilità non sono scomparse: si sono trasformate.
Le barriere di genere si sono ridotte ma non dissolte; la competizione per la pubblicazione e il finanziamento è ancora feroce; l’autorialità collettiva rende più difficile distinguere i contributi individuali.
Le “Rosalind Franklin” contemporanee sono spesso giovani ricercatrici o ricercatori precari, che lavorano dietro le quinte di grandi progetti, i cui nomi scompaiono nelle appendici delle supplementary materials.

Eppure, qualcosa è cambiato: oggi la comunità scientifica è più consapevole del valore della diversità e della necessità di riconoscere i meriti in modo più equo. La storia di Franklin è diventata un monito e un modello, ricordando che la scienza è tanto più solida quanto più ampie sono le voci che la costruiscono.

Conclusione – La doppia elica della memoria

Il silenzio di Watson, nella Nobel Lecture del 1962, non è solo un fatto storico: è una metafora della memoria selettiva con cui la scienza, come ogni impresa umana, racconta se stessa.
Ma la memoria, come il DNA, può essere riscritta. Negli anni, le spirali dell’oblio e del riconoscimento si sono avvolte e sciolte più volte, fino a ricomporre un quadro più giusto.
Oggi ricordiamo Rosalind Franklin non per la sua marginalizzazione, ma per il suo rigore, la sua lucidità, la sua capacità di vedere ciò che altri non seppero guardare.

E forse è questa la vera eredità della sua storia: riconoscere che la scienza vive della tensione fra verità e umanità, fra il desiderio di conoscere e le debolezze di chi conosce.
Watson, Crick, Franklin, Wilkins: quattro nomi intrecciati come le due catene della doppia elica. Nessuno di loro perfetto, ma tutti parte di una stessa sequenza di scoperte, errori, intuizioni e silenzi.
La scienza — come la vita — non è mai lineare. È una spirale che, pur nascendo dall’imperfezione, continua a replicarsi nel tempo.

Riferimenti e fonti principali

  1. Cobb, M. (2015). Sexism in science: did Watson and Crick really steal Rosalind Franklin’s data? The Guardian
  2. Cobb, M., Comfort, N. (2023). What Rosalind Franklin truly contributed to the discovery of DNA’s structure. Nature, 616: 657-660
  3. Franklin, R.E., Gosling, R.G. (1953). Molecular Configuration in Sodium Thymonucleate. Nature, 171: 740–741.
  4. Judson, H.F. (1979). The Eighth Day of Creation: Makers of the Revolution in Biology. Simon & Schuster.
  5. Maddox, B. (2002). Rosalind Franklin: The Dark Lady of DNA. HarperCollins.
  6. Sayre, A. (1975). Rosalind Franklin and DNA. W.W. Norton.
  7. Watson, J.D. (1962). The involvement of RNA in the synthesis of proteins. Nobel Lecture. NobelPrize.org
  8. Watson, J.D. (1968). The Double Helix: A Personal Account of the Discovery of the Structure of DNA. Atheneum.
  9. Watson, J.D. (with Andrew Berry) (2003). DNA. The secret of life. Alfred A. Knopf, NY
  10. Wilkins, M.H.F., Stokes, A.R., Wilson, H.R. (1953). Molecular Structure of Deoxypentose Nucleic Acids. Nature, 171: 738–740.

Dalla fucina di idee al centro per l’impiego: il lento declino dell’Università. Una riflessione sul destino dell’accademia

In Italia chiediamo all’Università di fare tutto: diplomare in fretta, “piacere” alle aziende, trattenere i giovani. Poi la misuriamo soprattutto su quanti contratti sforna a 6 o 12 mesi dalla laurea. È così che un’istituzione nata per allargare l’orizzonte si restringe fino a somigliare a un centro per l’impiego. A Palermo lo vedo ogni giorno: ad Agraria, la larga maggioranza degli studenti proviene dal territorio immediato; eppure, il tessuto produttivo che dovrebbe accoglierli non ha la profondità né la diversificazione necessarie per trasformare ogni laurea in un posto “pronto all’uso”.

Se allarghiamo lo sguardo, però, la Sicilia orientale corre con un passo diverso: le Università di Catania e di Messina si innestano su filiere più dinamiche – dalla vitivinicoltura etnea al lattiero-caseario ibleo – che offrono sbocchi più strutturati. È l’immagine in scala di un Paese a due velocità, con un Mezzogiorno meno sviluppato del Nord.

E quindi? Se continuiamo a misurare tutte le università con lo stesso metro corto (placement a 6–12 mesi), penalizziamo proprio chi lavora nei contesti più fragili e spingiamo tutti a piegare l’offerta verso l’addestramento. Il risultato è produrre laureati perfetti per l’oggi ma vulnerabili al domani. La via d’uscita è duplice: rimettere al centro la formazione lunga (metodo, scrittura, numeracy, pensiero critico) e costruire ponteggi seri verso il lavoro (tirocini post-laurea, co-progettati e retribuiti), senza trasformare i corsi in manuali d’officina.

Un dato che inquieta (e uno che orienta)

Il dato che inquieta non è l’assenza di lavoro in assoluto: è la fragilità dell’ecosistema che dovrebbe assorbire profili ad alta qualificazione. Quando il bacino economico è poco articolato, la richiesta di competenze specialistiche si spegne a intermittenza. Ne consegue un messaggio distorto: “Formate persone già pronte a fare X, Y, Z”. Ma se domani X evapora e dopodomani serve W, cosa resta? Resta l’unica bussola che non scade: metodo, pensiero critico, scrittura e numeracy, insieme alla capacità di apprendere in fretta ciò che cambia. È questo che dovrebbe orientare l’Università, non l’ultimo capitolato tecnico.

Quando l’ateneo imita l’azienda (e perché è una cattiva idea)

Negli ultimi anni ha preso piede una tentazione: modellare i corsi come “linee di montaggio” di competenze operative, con sillabi che sembrano manuali d’officina e con indicatori che misurano la resa a brevissimo termine. Le parole chiave sono note: “stakeholder”, “allineamento”, “filiera”. Nulla di male, finché restiamo nella sfera del dialogo; il problema nasce quando il dialogo si trasforma in subalternità. L’università che imita l’azienda smette di essere un luogo di produzione di conoscenza per ridursi a centro di addestramento. La differenza è sottile e decisiva: l’addestramento è reattivo (ti insegno a fare ciò che oggi serve), la formazione è proattiva (ti preparo a imparare ciò che servirà). Scegliere la prima strada può dare rendimenti immediati; scegliere la seconda crea cittadini e professionisti capaci di attraversare molteplici contesti.

Occupabilità ≠ addestramento

Qui sta l’equivoco da sciogliere: occupabilità non è sinonimo di addestramento. L’occupabilità è un insieme di competenze trasferibili: padroneggiare un linguaggio formale (matematica, statistica), saper leggere e scrivere testi complessi, saper argomentare, saper lavorare con dati imperfetti, saper collaborare e dare/ricevere feedback, sapere che cos’è un errore e come si corregge. A queste si aggiunge la competenza forse più preziosa: imparare a imparare.

L’addestramento, invece, è l’acquisizione di procedure specifiche: quel software con quella versione, quel protocollo con quei parametri, quella macchina con quel pannello di comando. È utilissimo, ma per definizione mutevole e context-dependent. Non può diventare la spina dorsale dei corsi di laurea senza svuotare l’Università della sua missione.

Cosa compete all’Università (e cosa no)

All’Università compete la costruzione dell’equipaggiamento mentale: metodo scientifico, profondità culturale, etica della responsabilità, consapevolezza del limite, pratica dell’incertezza. Compete anche il contatto con i problemi reali: laboratori, tesi su casi veri, seminari con pratiche professionali, service learning. Quello che non compete è trasformare il percorso di studi in un’accozzaglia di micro-addestramenti che invecchiano mentre li insegni. Le procedure – sacrosante – spettano principalmente ai contesti di lavoro, a tirocini post-laurea seri e retribuiti, alla formazione in ingresso che ogni impresa dovrebbe garantire se intende davvero investire sulle persone.

Il caso Palermo: il nodo non è solo la “domanda”

Palermo è un laboratorio interessante: straordinario patrimonio culturale, capitale umano pieno di talento, università che fa ricerca e didattica di qualità e allo stesso tempo un’economia che fatica a chiedere sistematicamente profili avanzati. Di fronte a questa asimmetria, inseguire l’idea dell’“università-azienda” è una scorciatoia che non funziona. Primo, perché l’offerta formativa si appiattisce sulle mansioni presenti – limitate – e smette di preparare al di là dell’angolo; secondo, perché si alimenta una sudditanza culturale ed economica: l’ateneo come esecutore di compiti, non come attore che innova e sperimenta.

La risposta non è voltare le spalle alle imprese, né rifugiarsi in una torre d’avorio. La risposta è alzare l’asticella della formazione generale e insieme costruire ponteggi concreti: progetti comuni, incubatori di idee, spin-off quando ha senso, tirocini seri e ben disegnati. Ma senza capovolgere i ruoli: l’Università non è un’officina esterna; è un bene pubblico che genera esternalità positive di lungo periodo (conoscenza, cittadinanza, democrazia cognitiva), spesso invisibili agli indicatori trimestrali.

Obiezioni (e risposte oneste)

“Però i nostri ragazzi vogliono lavorare subito.”
Certo. E nessuna università responsabile disprezza i tempi di inserimento. Ma se confondiamo tempi rapidi con addestramenti rapidi, li stiamo danneggiando: li rendiamo perfetti per il presente e vulnerabili al futuro.

“Le aziende chiedono competenze specifiche; non possiamo ignorarle.”
Non vanno ignorate: vanno incorniciate. L’Università offre i fondamentali e il metodo; le imprese completano, attraverso percorsi mirati e aggiornabili. Il contrario produce laureati “obsoleti in anticipo”.

“Così però rischiate di formare disoccupati colti.”
No, se il percorso è rigoroso (matematica, statistica, informatica di base, scrittura, lingua, laboratorio serio), esigente (prove autentiche, tesi che non siano riassunti), e aperto (contatti con il mondo). Quello che produce disoccupazione non è la cultura, è la povertà di ecosistema.

“Senza placement alto i finanziamenti calano.”
Questo è un problema di indicatori: se misuri solo una dimensione, modelli i comportamenti per compiacere la metrica. Servono indicatori plurali che pesino didattica, qualità della ricerca, impatto culturale e sociale, non soltanto quanti contratti compaiono a breve.

Cinque mosse possibili (concrete e realistiche)

  1. Doppio binario trasparente.
    Dichiarare senza complessi quali percorsi sono principalmente professionalizzanti (con skill operative ben marcate) e quali sono accademico-culturali (metodo, ricerca, ampiezza). Pari dignità, criteri di valutazione diversi. Così si riduce l’ambiguità e si responsabilizzano tutti.
  2. Tirocini post-laurea co-progettati (e retribuiti).
    Evitiamo di diluire i corsi di laurea in mille micro-stage. Piuttosto, costruiamo ponti seri dopo la laurea, con tutoraggio congiunto, obiettivi chiari e oneri a carico dell’impresa che beneficia del lavoro del neolaureato. Questo riduce lo scollamento tra “teoria” e “pratica” senza snaturare i piani di studio.
  3. Indicatori di qualità più equilibrati.
    Affianchiamo al placement breve altri segnali: qualità della didattica (con misure che guardino davvero all’apprendimento, non alla simpatia del docente), produzione scientifica di base, iniziative di public engagement, collaborazione con scuole e territorio. Un sistema di valutazione più ricco incentiva scelte più sagge.
  4. Perequazione per gli atenei in aree deboli.
    Chi lavora dove l’ecosistema economico è fragile non può giocare con le stesse carte di chi opera in distretti iper-dinamici. Serve un fondo perequativo strutturale, legato a progetti di impatto (culturale, educativo, civile), non solo a brevetti e contratti conto terzi. È una misura di giustizia territoriale, non un sussidio.
  5. Mobilità studentesca interna con borse ad hoc.
    Favoriamo la circolazione Sud↔Nord (e viceversa) con borse mirate e alloggi a canone calmierato. Non per trasformare la mobilità in esodo, ma per farne una andata e ritorno: si esce per imparare e si rientra con competenze che arricchiscono il territorio. L’Università può essere la regia di questa mobilità intelligente.

Cosa significa “formare” (sul serio)

Formare non è soltanto trasmettere contenuti; è costruire abitudini di mente. Insegnare a distinguere un fatto da un’opinione, una fonte solida da una rumorosa, un ragionamento valido da una scorciatoia. È mettere i ragazzi nelle condizioni di sbagliare in sicurezza, rifare, migliorare. È allenarli alla curiosità disciplinata: quella che pone domande buone e non si accontenta di risposte facili. È anche educare alla responsabilità: il “come” si lavora conta quanto il “cosa” si fa. Chi ha attraversato un laboratorio serio sa che un dato “bello” ma ottenuto male è un dato falso e che la meticolosità non è mania: è etica.

Queste non sono chiacchiere astratte: si traducono in corsi che chiedono letture e scritture non superficiali, che presentano problemi aperti (senza esito unico), che valutano con prove autentiche (progetti, analisi di casi, laboratori) e non solo con quiz di riconoscimento. Quando uno studente vive questa palestra, l’addestramento diventa una passeggiata: gli basteranno poche settimane in azienda per imparare la procedura specifica, perché ha interiorizzato la procedura generale: osservare, ipotizzare, testare, correggere.

Che cosa perdiamo quando pieghiamo la testa

Quando trasformiamo l’Università in training center, perdiamo tre cose insieme:

  • Resilienza individuale: prepariamo persone adatte a oggi e inadeguate a domani.
  • Ricchezza collettiva: la ricerca di base e la cultura diffusa sono i fertilizzanti invisibili dell’innovazione; tagliarle significa sterilizzare il terreno.
  • Libertà: chi non ha strumenti per pensare dipende dal manuale e da chi lo scrive.

Sono perdite difficili da misurare a breve, ma pesantissime a lungo. Un Paese che smette di investire nel pensiero lungo finisce per rincorrere ogni marea.

La mia Università

La mia Università non è un’azienda e non è un tempio. È una fucina di idee in cui si sbaglia e si impara, si discute e si costruisce, si fa ricerca seriamente e si insegna con passione. È un luogo aperto: alle scuole, alle imprese, ai cittadini. Ma rifiuta di farsi governare dal presentismo. Se qualche “stakeholder” storce il naso, dialoghiamo; se chiede subalternità, rispondiamo di no: non per superbia, ma per fedeltà alla missione.

A Palermo questa fedeltà conta doppio. Perché qui la tentazione dell’adattamento al ribasso è forte. E invece la nostra responsabilità è alzare lo sguardo: formare persone capaci di stare nel mondo – a Palermo, a Catania, a Milano, a Berlino – senza smarrire le proprie radici e senza rinunciare all’ambizione.

Conclusione: allenare la libertà

L’Università che difendo non fabbrica mansioni: allena alla libertà. Chi esce da un buon percorso universitario sa imparare veloce, sa comunicare con chiarezza, sa riconoscere un buon argomento, sa dubitare con metodo. È occupabile perché è pensante, non perché è già addestrato all’ultimo aggiornamento software o hardware. L’addestramento si impara lavorando; l’orizzonte – quello sì – si impara studiando.

Se ricominciamo da qui, non solo ridaremo dignità all’istituzione; daremo anche più chances ai nostri giovani, a Palermo come altrove. Perché la migliore garanzia di lavoro, nel lungo periodo, resta la capacità di cambiare lavoro senza perdere se stessi. E questa, nessun corso di addestramento potrà mai prometterla.

Corni rossi in laboratorio: mito e metodo, scaramanzia e superstizione

Una delle prime cose che insegno, all’inizio dell’anno accademico nei miei corsi triennale e magistrale, è il metodo scientifico: guardi, ti fai un’idea, provi a smentirla.

Pulito, lineare: tutto misurabile, tutto spiegabile in modo oggettivo e razionale.

Eppure…

C’è stato un tempo in cui avevo la maglia fortunata. Non sostenevo esami senza indossarla. Era la mia coperta di Linus. A nulla valeva ricordarmi che superare un esame dipendesse da me: da quanto avessi studiato e da quanto avessi capito quella disciplina. No: senza il talismano non andavo da nessuna parte. E se venivo bocciato? La risposta era unica e certa: non indossavo il mio “dispositivo apotropaico” perché proprio quel giorno mia madre l’aveva messo a lavare per togliere le puzze.

Dopo cinque anni e una trentina di esami, quella maglia sembrava un gatto spelacchiato sopravvissuto a una centrifuga da 2000 giri al minuto.

Vi sembra stupido, vero? Lo è. Ma sono in buona compagnia. Oggi vi parlo delle abitudini strambe – e poco razionali – di alcuni dei più grandi scienziati passati sulla Terra.

Isaac Newton e la pietra filosofale

Isaac Newton, simbolo della ragione e dell’ordine matematico, passò anni chinato su testi di alchimia, annotando in latino formule e segni cifrati, vicino alla fornace. Non era un passatempo: era un’ossessione. Cercava la pietra filosofale, il segreto capace di trasmutare i metalli e, in fondo, di svelare il vocabolario nascosto della materia.

Col senno di poi parleremmo di errore concettuale. Eppure quell’alchimia “superstiziosa” conteneva anche i semi della chimica moderna: tecniche di purificazione (sublimazione, calcinazione, distillazione), un’idea operativa di trasformazione, un metodo di laboratorio fatto di prove, fallimenti, registri. Newton non separava nettamente scienza e mistero: cercava leggi nella natura e, insieme, significati nascosti. Forse per questo – scrisse Keynes  –  “non fu il primo dell’età della ragione, ma l’ultimo dei maghi.”

Dietro la reputazione di glaciale geometra c’era un uomo che alimentava il fuoco del crogiolo di notte, che copiava e commentava pagine e pagine di autori alchemici (tra cui l’enigmatico Eirenaeus Philalethes), che inseguiva il “mercurio filosofico” come chi sospetta l’esistenza di una chiave sola per molte serrature. La sua mano era la stessa che, con pazienza feroce, scomponeva la luce nel prisma: dall’ottica alla gravità, fino alla trasmutazione dei metalli, Newton cercava un principio unificante, un ordine segreto capace di tenere insieme mondi lontani.

C’era anche segretezza: i quaderni alchemici circolavano poco, spesso in codice. Parte per prudenza (il confine con l’eterodossia religiosa era sottile), parte per vanità intellettuale, parte per timore del ridicolo. Ma quelle pagine, così diverse dai Principia, rivelano la stessa postura: occhi sul dettaglio, mani nel laboratorio, mente ostinatamente monoteistica nella sua idea di ordine – un universo costruito con pochi mattoni e poche regole, tutte da decifrare.

È facile sorridere del mago nel matematico. Più difficile è riconoscere che senza quella tenacia quasi rituale, senza notti passate a distillare e fallire, la sua idea di legge naturale non avrebbe avuto la stessa densità. L’alchimia non fu la sua verità scientifica; fu però il suo lessico di apprendistato, il luogo in cui imparò che la materia non si concede a slogan ma a procedimenti. E in questo scarto tra talismano e metodo – tra crogiolo e calcolo – sta il fascino di Newton: un uomo che portò la ragione lontanissimo, senza smettere di ascoltare il richiamo, antico e umano, di un ordine nascosto.

Fermi e la fortuna calcolata

Enrico Fermi, l’uomo che stimava l’energia di un’esplosione nucleare lasciando cadere pezzetti di carta per misurare la distanza d’urto dell’onda, non credeva nella sorte cieca. La misurava. A Los Alamos, nelle pause lunghe come notti, si racconta che facesse conti mentali sulle probabilità di vincere a carte con colleghi altrettanto brillanti: non per denaro, ma per vedere quanto della “fortuna” si potesse spogliare di mistero con un calcolo rapido, un’approssimazione ragionevole, un ordine di grandezza.

La sua erano superstizioni con la matita in mano. Fermi rispettava un principio quasi liturgico: non cambiare un assetto sperimentale che aveva funzionato; ripetere la sequenza di passaggi nello stesso modo, con la stessa cura, quasi con lo stesso ritmo. Non era magia: era metrologia affettiva – l’idea che la regolarità delle cose meriti un cerimoniale minimo perché il rumore non divori il segnale. Nei suoi taccuini la scaramanzia si riduceva a un algoritmo pratico: tieni ferma la procedura, lascia variare una sola cosa alla volta, abbi rispetto per gli strumenti e per i loro capricci.

C’era in lui una fiducia spietata nelle buone stime. I famosi “problemi di Fermi” nascevano da qui: la convinzione che, se scomponi l’ignoto in fattori semplici e plausibili, la realtà si lascia avvicinare. La superstizione, in questo schema, diventa la sorella educata della statistica: non un talismano, ma un set di abitudini che tolgono peso all’ansia e lo spostano sulla ripetibilità. Nel laboratorio come al tavolo da gioco, Fermi domava il caso non negandolo, ma mettendolo al lavoro.

Anche attorno a lui, a Los Alamos, i rituali pullulavano: lavagne ripulite solo a fine turno, gessetti “fortunati”, tazze sempre nello stesso posto. Fermi partecipava con un sopracciglio alzato e un cronometro in tasca. Della fortuna accettava il residuo: quel tanto che resta quando hai contato tutto il contabile. Il resto lo affidava a ciò che sapeva fare meglio – ridurre il mondo a numeri onesti, abbastanza robusti da non crollare alla prima raffica di vento.

È forse qui la sua “scaramanzia”: un rispetto laico per l’ordine. Se qualcosa aveva funzionato ieri, non la si toccava oggi. Non per paura, ma per gratitudine alla regolarità. In quell’interstizio – tra l’onda d’urto misurata con un foglietto e il mazzo di carte ridotto a probabilità – la fortuna smette la maschera e diventa varianza; e Fermi, con calma quasi scaramantica, continua a prenderne le misure.

Niels Bohr e il ferro di cavallo

Niels Bohr, premio Nobel e padre della fisica quantistica, teneva appeso un ferro di cavallo alla porta di casa. Si racconta che, quando un amico gli chiese: “Ma davvero credi che porti fortuna?”, Bohr sorridesse: “No, ma mi hanno detto che funziona anche se non ci credi.” Una battuta che sembra un vezzo, e invece è una piccola lezione di epistemologia domestica.

Bohr viveva nella regione di confine tra ciò che possiamo dire e ciò che possiamo solo prevedere. La sua “complementarità” chiedeva di accettare verità parziali che non possono valere insieme nello stesso esperimento, ma che insieme descrivono il mondo meglio di qualunque assolutismo: onda o particella, a seconda di come guardi. Il ferro di cavallo appeso alla porta diventa allora un’immagine perfetta: una “teoria” pratica che non pretende fede, ma chiede ospitalità. Non serve crederci: basta ammettere che il reale è più scaltro dei nostri schemi e che, nel dubbio, un piccolo rito può convivere con una grande teoria.

C’era ironia in quella risposta, ma non leggerezza. Bohr sapeva che la scienza non elimina l’incertezza: la addomestica. Anche la meccanica quantistica – la più predittiva delle teorie – mette il caso al centro. Niente traiettorie segrete, niente consolazioni classiche: probabilità ben educata, sì; certezza, no. Di fronte a questo, un ferro di cavallo non è un talismano contro la ragione: è una metafora di modestia. Ricorda allo scienziato che i modelli funzionano finché funzionano, e che il mondo non ha il dovere di rientrare nella griglia che abbiamo preparato per lui.

Bohr non chiedeva di credere al ferro, ma di tollerare il paradosso: si può non credere e, tuttavia, lasciare uno spazio all’ignoto, come quando accetti che la luce “sia” onda e particella a seconda della domanda che poni. È il suo stile: una lucidità che non ha paura di tenere in tasca un sorriso. In quell’oggetto appeso alla porta c’è il suo invito più serio: restare intelligenti senza diventare arroganti, custodire i riti minimi che ci aiutano a vivere l’alea, e continuare, nonostante tutto, a misurare, a fare esperimenti, a scegliere bene le domande. Perché la fortuna – qualunque cosa sia – magari non esiste; ma il modo in cui ci disponiamo ad accoglierla può fare tutta la differenza.

Marie Skłodowska Curie e la luce nel buio

Marie Skłodowska Curie portava con sé la sua luce. Non un corno, non un ferro: una piccola fiala di sali di radio che al buio emanava un bagliore azzurrognolo. Più che un portafortuna, era un gesto pratico e insieme poetico: la materia che le aveva cambiato la vita, resa visibile. Le piaceva spegnere le lampade e guardare quel chiarore minimo, come se il mondo le concedesse, per un attimo, di vedere ciò che di solito resta nascosto.

Non era superstizione: era vicinanza alla scoperta. Nei baracconi gelidi dell’Institut du Radium, tra cariole di pechblenda rimescolata per mesi, Marie coltivava una liturgia povera: grembiule, provette, registri fitti, e poi quell’istante notturno in cui controllare se il campione “respirava” luce. Il radio diventava il suo segnaposto nel buio, un promemoria tangibile che la materia parla anche quando tacciamo. Non chiedeva protezione; chiedeva attenzione.

C’era dolcezza e durezza insieme in questo rito. Dolcezza nello stupore – la bellezza di un azzurro che fiorisce da una sostanza nera, quasi un fiat di laboratorio. Durezza nella determinazione: la pazienza feroce di chi riduce, filtra, calcina, misura, annota. Quel filo di luce era la prova che il metodo non è arido: è un modo di stare nelle cose, di non separarsi da ciò che si studia. E, sì, anche un modo di non separarsi da Pierre, perché in quel chiarore c’era la memoria condivisa di un lavoro fatto insieme, quando le notti finivano con le mani stanche e gli occhi pieni di scintille.

Guardiamo oggi a quei gesti con una consapevolezza diversa: taccuini e strumenti di Marie sono ancora radioattivi, custoditi in contenitori piombati. La sua “luce” aveva un prezzo. Ma proprio qui, nel contrasto tra incanto e rischio, il suo rito si fa simbolo: un amuleto laico che non promette fortuna, ma ricorda responsabilità. Tenere una fiala che brilla non per scaramanzia, bensì per fedeltà alla realtà: per dirci che la scienza, quando è grande, non smette di cercare la verità – e di riconoscerne, senza paura, il bagliore.

Richard Feynman e i bonghi quantistici

Richard Feynman, premio Nobel e spirito irrequieto, aveva un rito semplice e scandalosamente terrestre: suonare i bonghi. Prima di una conferenza, la sera di un’idea nuova, perfino tra un calcolo e l’altro: due mani, una pelle tesa, un ritmo che mette ordine. Diceva, senza enfasi, che lo aiutava a entrare nello stato giusto: non tanto la “fortuna”, quanto la frequenza su cui far vibrare attenzione e curiosità.

La sua scienza era una danza tra regole e improvvisazione. Nei diagrammi tracciati col gesso c’era la disciplina di un formalismo elegante; nei bonghi, l’altra metà: la sincope che scioglie l’ansia e fa spazio all’intuizione. Feynman conosceva bene la trappola del controllo assoluto: quando il cervello stringe troppo, l’idea scivola via. Il ritmo serviva a spalancare una finestra, a ricordare al corpo che pensare è anche respirare, che la mente ragiona meglio quando il resto di noi non è in apnea.

Non era una superstizione in cerca di indulgenza, ma una igiene dell’attenzione. Come il disegno (le modelle, i quaderni pieni di linee) o il samba imparato in Brasile, i bonghi facevano parte di una palestra sensoriale con cui Feynman teneva vivo il piacere di scoprire. Un piacere fisico, quasi infantile, che non ha paura di battere le mani su un tamburo prima di battere i denti su un integrale. Il laboratorio, per lui, restava un posto serio; ma la serietà non era seriosità: si poteva arrivare alla verità ridendo, purché si restasse onesti con i dati.

C’era poi una lezione morale, che in Feynman non mancava mai: il rito va bene finché non sostituisce la prova. Nei suoi discorsi contro la “cargo cult science” c’è l’avvertimento netto: i gesti possono aiutare a disporci alla verità, ma non la producono. I bonghi, allora, sono il contrario di un talismano: non promettono risultati, promettono presenza. Ti ricordano che il mondo non si piega alla scaramanzia; si lascia capire, a volte, se entri con il passo giusto.

È facile immaginarlo dietro il sipario: camicia arrotolata, qualche colpo secco, poi un sorriso di bambino colto sul fatto. Il pubblico sente ancora l’eco del tamburo quando Feynman comincia a parlare di particelle come se fossero personaggi su un palcoscenico: entrano, escono, si scambiano segnali. Il ritmo, ormai interno, batte sotto le parole. E quando l’argomento si fa sottile, resta quella musica appena percettibile a tenere insieme rigore e gioia – la vera, inconfondibile firma di Feynman.

Quando la superstizione aiuta la scienza

In realtà, la superstizione – o meglio, il rito – non è l’opposto della scienza. È una scorciatoia mentale che ci fa sentire più stabili davanti all’incertezza. Gli esperimenti falliscono, i risultati tardano, la variabilità domina. A volte un piccolo gesto serve solo a ricordarci che non controlliamo tutto, ma possiamo almeno disporre bene noi stessi.

La psicologia la chiama illusione di controllo: l’idea di poter influenzare un esito incerto attraverso comportamenti ripetitivi. Detto così sembra un difetto; in micro-dose è una risorsa. Il rito abbassa l’ansia basale, ancora l’attenzione e mette il corpo in assetto. È un pre-fallimento controllato: una sequenza che conosciamo a memoria e che ci restituisce padronanza quando il resto è imprevedibile. Il chirurgo che allinea gli strumenti, il violinista che accorda nello stesso ordine, la ricercatrice che riempie la scheda come prima cosa: non è magia, è frizione cognitiva ridotta.

C’è poi un altro effetto, più sottile: il rito sposta il fuoco dall’esito al processo. Per qualche minuto non contano il p-value o il referee n. 2; conta il gesto giusto fatto al momento giusto. Questo disinnesca la ruminazione, che è la vera nemica della performance intellettuale. È come dire alla mente: “riparti da qui, dal concreto”. Da lì tornano il metodo, la misura, la pazienza.

Naturalmente il confine è chiaro: il rito è utile finché resta strumento. Quando pretende di sostituire l’evidenza, diventa superstizione nel senso deteriore: cargo cult. La scienza chiede prove, non propiziazioni. Per questo i rituali buoni sono brevi, economici, falsificabili: se disturbano il dato, si cambiano; se aiutano, restano. Nessun dramma, nessun dogma.

Se volessimo distillare una guida pratica per tenere i riti dalla parte della ragione, potremmo scrivere che essi devono essere:

  • Piccoli e ripetibili: un minuto, sempre uguale.
  • Non intrusivi: non devono alterare protocollo e misure.
  • Orientati al processo: preparano la mente, non “chiamano” l’esito.
  • Sostituibili: se non servono più, si lasciano andare senza nostalgia.

Così il rito smette di essere una scialuppa contro il caso e diventa un metronomo: batte il tempo mentre facciamo ciò che davvero conta – osservare, ipotizzare, verificare. E quando, finalmente, il risultato arriva, non diremo “ha funzionato il portafortuna”, ma qualcosa di più adulto e più bello: ho lavorato bene, nel modo giusto.

Superstizioni d’alta quota

Anche oggi, tra scienziati e astronauti, i riti non mancano. Non chiedono fede: aiutano a respirare quando l’alea è alta.

  • Baikonur, la sosta più famosa. Da Gagarin in poi, i cosmonauti russi si fermano ancora accanto alla ruota posteriore del bus che li porta alla rampa. I maschi… urinano; alcune colleghe versano poche gocce da una fialetta, per tradizione. È un gesto semplice e spiazzante, nato dal bisogno e diventato rito: un modo per dire “si parte, ma restiamo umani”.
  • Cape Canaveral, liturgie di routine. In ambiente NASA abbondano abitudini “portaserenità”: la colazione di steak & eggs nel giorno di lancio, una mano di carte finché il comandante perde, e persino le noccioline “della fortuna” al JPL, nate con Ranger 7. Piccoli gesti che non spostano i numeri, ma allineano le teste.
  • Amuleti a gravità zero. Quasi ogni equipaggio porta a bordo un peluche: è simpatico, certo, ma soprattutto è un indicatore innocuo di microgravità — quando inizia a fluttuare, sai che sei in orbita. Una superstizione con funzione strumentale.
  • CERN, ironia ad alta energia. Nei corridoi del laboratorio circolano tazze, meme e particelle di peluche: l’autoironia come rito collettivo durante le fasi delicate dell’LHC. Non “propiziazioni”, ma talismani laici che ricordano che dietro al Bosone di Higgs ci sono persone. (Curiosità: esistono intere collezioni di plush del Modello Standard; persino Peter Higgs teneva il suo come fermacarte.)

La logica è sempre la stessa: abbassare il rumore interno. Che tu stia entrando in una Soyuz o accendendo un acceleratore, un rito minuscolo può trasformare l’ansia in gesto, e il gesto in attenzione operativa. Non cambia la fisica; cambia chi la maneggia. E, a quelle altitudini – letterali o metaforiche – è già tantissimo.

L’ultima mossa della ragione

La superstizione, vista da vicino, è spesso una regola empirica ante litteram: “ogni volta che faccio così, va meglio”. Una scorciatoia nata dall’esperienza. La domanda giusta non è crederci o no, ma perché sembra funzionare – e se funziona davvero. Qui la ragione fa la sua mossa: prende il rito, lo mette alla prova, lo tiene se aiuta il processo, lo lascia se inganna.

Newton cercava oro, e trovò leggi. Fermi mescolava carte, e scoprì il caso come alleato, non come nemico. Bohr appese un ferro di cavallo e ci ricordò che l’ironia può essere una forma di pensiero. Marie Skłodowska Curie guardò una fiala che brillava e trasformò l’incanto in misura. Feynman batteva i bonghi e convertiva l’ansia in attenzione.

Il punto è questo: i riti sono trampolini, non arrivi. Ti danno lo slancio per saltare, ma a metà aria devi affidarti alle prove. Quando la superstizione accetta questo patto – restare piccola, utile, rivedibile – smette di essere un alibi e diventa l’ultima cortesia che facciamo alla mente prima di chiedere alla realtà la sua risposta.

Epilogo

E se qualcuno mi chiedesse se credo nella fortuna, risponderei come Bohr: «No, ma mi hanno detto che funziona anche se non ci credi».

Poi, in silenzio, ripiegherei la mia vecchia maglia: i riti passano, il metodo resta.

Note e riferimenti

Share